II dio Mikroprocesor

2.14. Vježbe

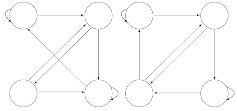
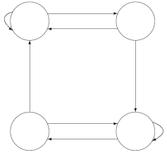
Dati moguća tumačenja sljedećih dijagrama stanja predviđanja grananja u instrukciji uslovnog skoka.

 

Promjena naziva registara     <    Index