Prvi tip zadataka koji se javljaju kod problema sa limesima jesu zadaci kod kojih moramo da koristimo racionalizaciju.
Zadatak 1:
Ako bismo uvrstili x=1 dobili bismo nula kroz nula, a znamo da se ne može dijeliti sa nulom. Zato vršimo racionalizaciju:

Kada vidimo u zadatku nakon racionalisanja da postoje izrazi koji daju 0, i ako imamo šta da skratimo onda skraćujemo razlomak:

Kada dobijemo izraze u razlomku koji su mogući kada uvrstimo x=1, tj. kada ne dobijamo 0, uvrštavamo x i dobijamo konačan rezultat:

Zadatak 2: 
Ovaj zadatak radimo na sličan način kao i prethodni. Dakle prvo racionalizacija, sve dok prilikom uvršavanja broja kojem x teži ne dobijemo konačan rezultat.

Drugi tip zadataka su zadaci prilikom čije izrade koristimo limese do kojih smo došli eksperimentalno.
Zadatak 1: 
Vrijednost ovog limesa je
, zato
nastavljamo dalje dok ne dobijemo konačan rezultat. Najjednostavniji način
izrade je ako izvučemo x ispred zagrade, ili podijelimo i brojilac i imenilac sa
x:
(Izraz 1/x ima vrijednost 0, tako
da je rezultat ovog zadatka 1.)
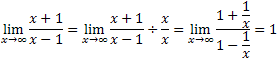
Zadatak 2: 
I ovaj zadatak radimo na isti način kao i predhodni, dakle izvući ćemo x ispred zagrade s cilje da dobijemo n/x i tako riješimo zadatak:

Sljedeći limes do kojeg smo došli eksperimentalno je
.
Zadatak 1: 
Ovaj zadatak ćemo uraditi tako što ćemo i brojilac i imenilac pomnožiti sa 4 da bismo dobili odgovarajuću vrijednost x i gore i dole:

Kada smo dodali 4 i gore i dole prepoznali smo
koje je eksperimentalni limes i ima
vrijednost 1. I ostala nam je 4.
Zadatak 2: 
Važno je napomenuti da zadaci kao što je ovaj zahtijevaju poznavanje trigonometrijskih funkcija.


Zadatak 3:
Ovdje ćemo prvo uvesti smjenu:
, pa
kad
, onda
, dakle
.
(Prema trig. formulama
)

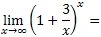
Sljedeći limesi do kojih smo došli eksperimentalno su:
i
.
Zadatak 1: 
Ovdje gdje je 3 mora biti 1, tako da ćemo 3 "spustiti" ispod x.
Sljedeći korak je da kod x u eksponentu pomnožimo i podijelimo sa 3.

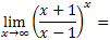
Zadatak 2: 
Da bismo sebi olakšali u zagradi ćemo dodati i oduzeti 1.




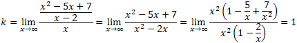
Zadatak 1: Odrediti asimptote funkcije
.
Prvo ćemo odrediti vertikalnu asimptotu, ali prije toga moramo da odredimo domen ove funkcije.



Vertikalna asimptota postoji ako postoji tačka u kojoj funkcija nije definisana. A mogu da postoje i više tačaka u kojima funkcija nije definisana.
Ako posmatramo našu funkciju
, ona
nije definisana kada je x=2. I zato ćemo ispitati njeno ponašanje u okolini ove
tačke.Prvo ćemo posmatrati ovu tačku kada joj se približavamo sa lijeve strane,
a to zapisujemo 2-0 ili 2-.

Sada ćemo ispitati njeno ponašanje kada joj se približavamo sa desne strane, a to zapisujemo 2+0 ili 2+.

I naš zaključak je da funkcija
ima
vertikalnu asimptotu x=2.
Sljedeći korak je da ispitamo ima li naša funkcija kosu asimptotu. Ako nema kosa, onda postoji horizontalna.
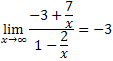
Opšta formula kose asimptote je y=kx+n.

Vrijednost k koje smo dobili koristimo pri računanju n.


I dobili smo da kosa asimptota glasi y=x-3
Znaćemo ako prilikom računanja nemamo k, a imamo n. Onda je horizontalna asimptota y=n. Najlakše nam je da prvo pronađemo vertikalnu asimptotu, ako postoji, te tražimo kosu asimptotu. Ako kosa asimptota nema k, a ima n, onda imamo horizontalnu. Funkcija ne može da ima i horizontalnu i kosu asimptotu u isto vrijeme.
Da bismo koristili ovo pravilo, neophodno je poznavanje tablice izvoda. Ako nju znamo, nećemo imati problema sa ovim zadacima.
Zadatak 1: 
Ovaj eksperimentalni limes lako ćemo izraćunati pomoću Lopitalovog pravila.

Zadatak 2: 
Kod ovog zadatka ćemo morati da koristimo Lopitalovo pravilo dva puta. Ali mi
možemo da koristimo ovo pravilo dok god ne prestanemo da dobijamo neodređene
oblike
ili
.

![]() |
![]() |
![]() |
![]() |
![]() |
![]() |
![]() |