|
|
|||
|
КРУГОВИ |
|||
|
Особине |
|||
Линија која сече круг у две тачке је сечица или секанта, а линија која додирује круг у једној тачки је тангента. Тангентне линије су увек под правим углом са полупречницима, сегментима који спајају центар са тачком на кружници, чија се дужина поклапа са дефиницијом од изнад. Део сечице ограничен кругом се зове тетива, а најдужа тетива је она које пролази кроз центар и зове се пречник или дијаметар и чине га два полупречника. Површина дела круга одсеченог тетивом се назива кружни одсечак.
Могуће је наћи највећи број јединствених одсечака које стварају тангенте између тачака на кружници.
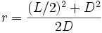
Ако је познат само круг (или његов део),
онда његов центар може да се конструише на следећи начин: узму се две не-паралелне
тетиве, конструишу се кружне линије на њиховим средиштима и пронађе се пресечна
тачка тих линија. Полупречник таквог парцијалног круга може да се израчуна из
дужине (L) тетиве и удаљености (D) од средишта тетиве до најближе тачке на кругу
по разним формулама, укључујући:
(из математичког извођења)
(из математичког извођења)

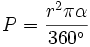
Део обима ограничен са два полупречника се зове лук (геометрија), а површина (тј. кришка диска) у оквиру тих полупречника и лука се зове кружни исечак. Однос дужине лука и полупречника дефинише угао између два полупречника у радијанима.
Формула за дужину кружног лука (где је α централни угао над луком):
Формула за површину кружног исечка:
Сваки троугао може да има више кругова: описани круг који садржи сва три темена троугла, уписани круг који је унутар троугла и додирује све три странице, три спољашња круга који су ван троугла и додирују једну страницу и наставке друге две и круг девет тачака који садржи разне важне тачке троугла. Талесова теорема наводи да ако се три темена троугла налазе на кругу где је једна страна троугла пречник круга, онда је супротни угао од те странице прав.
За сваке три различите тачке које леже y равни, а истовремено не леже на правој, постоји тачно један круг чија кружница садржи те тачке (то је заправо описани круг троугла којег дефинишу те тачке). За три одређене тачке <(x1,y1), (x2,y2), (x3,y3)>, једначина овог круга је приказана на једноставан начин користећи матричну детерминанту:

Круг је врста пресека купе, са нултим ексцентрицитетом. У топологији све просте затворене криве су хомеоморфне круговима, а реч круг се често примењује на њима као последица. Тродимензионални аналог кругу је лопта (тело) или сфера (површ).
Квадратура круга се односи на (немогући) задатак конструисања, за дати круг, квадрата са једнаком површином користећи само лењир и шестар. Квадратура круга Тарског је, насупрот, задатак дељења круга на коначно много делова и спајања тих делова да би се сачинио квадрат исте површине. Због аксиоме избора, ово је заиста могуће.
Тродимензионална тела чији су пресеци у неким
равнима кругови укључују лопте, сфероиде, ваљкове и
купе.
![]() |
![]() |
![]() |
![]() |
![]() |
![]() |
![]() |
![]() |