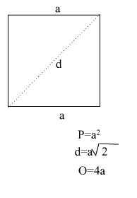
KVADRAT.