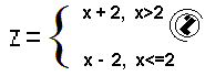
7.2.. Sa tastature učitati broj x. Varijabli z pridružiti vrijednost prema slijedećem izrazu:
 Listing programa:
package zadatak;
import java.util.Scanner;
public class P07211041 {
public static void main(String[] args) {
Scanner input = new Scanner (System.in);
double x, z;
System.out.println("Broj:");
x=Keyboard.readDouble();
if (x > 2 )
z = x + 2;
else
z = x - 2;
System.out.println("x= " + x + " z = " + z);
}}
Daljnji rad:
1. Učitati x i izračunati z prema izrazu:

Rješenje: IF x < 2 THEN z = x + 2 ELSE z = x - 2;
2. Učitati x i izračunati z prema izrazu:

3. Učitati x i izračunati z prema izrazu:

Ispis na ekranu:

Index
|