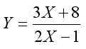
7.2.. Napiši program za rješavanje slijedećeg izraza:

Opis rješenja: Nazivnik mora biti različit od nule 2x-1 != 0.
Listing programa:
package zadatak;
import java.util.Scanner;
public class P07212002 {
public static void main(String[] args) {
Scanner input = new Scanner (System.in);
System.out.println("Izraz");
System.out.print("Broj ");
double x = input.nextInt();
if (2*x - 1 != 0)
System.out.println("Rezultat je "+ (3*x + 8)/(2*x - 1));
else
System.out.println("Nije moguce dijeliti sa nulom");
}}
Ispis na ekranu:

Index
|