Programski jezik Java Primjeri otklanjanja grešaka /DEBUGGING/
Razgranata struktura - Ulaz - izlaz
| 1 |
Učitati broj ispisati znak broja prema izrazu:
 |
Java |
| 1_1 |
Napisati program za izračunavanje vrijednosti prema izrazu:
 |
Java |
| 1_2 |
Napisati program za izračunavanje vrijednosti prema izrazu:
 |
Java |
| 5 |
Napisati program za odredjivanje z po formuli:
 |
Java |
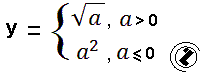
| 6 |
Učitati realan broj, ako je broj pozitivan ispisati njegov korijen, a ako je negativan, njegov kvadrat:
 |
Java |
abc Algoritmi abc BASIC abc Turbo Pascal abc C++ abc Java abc C abc Python abc Dev-Pascal Index
|