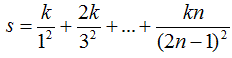
12.7.1. Napisati program koji će za učitanu vrijednost N izračunati vrijednost izraza i ispisati:
Opis rješenja: Pri rješavanju zadatka treba ispisati sabirak korištenjem promjenjive (u ovom slučaju i), to je i * k/Math.sqrt(2*i-1).
Listing programa:
package zadatak;
import java.util.Scanner;
public class P12700031 {
public static void main(String[] args) {
Scanner input = new Scanner (System.in);
System.out.println ("Sumu prema izrazu");
int k,n;
double s=0;
System.out.print("n= ");
n = input.nextInt();
System.out.print("k= ");
k = input.nextInt();
int i=1;
while (i<= n){
s+=k*i/Math.pow((2*i-1),2); // s = s+k*i/Math.pow((2*i-1),2);
i++;
}
System.out.println("Suma prema izrazu: " + s);
}}
Ispis na ekranu:

Index
|