| 1.2. |
Napisati program koji izračunava koliko je keramičkih pločica potrebno za popločavanje bazena ... |
Java |
| 1.3. |
Napisati program koji izračunava proteklo vrijeme između dva vremenska trenutka (u satima, minutama i sekundama)... |
Java |
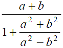
| 2.1. |
Napisati program koji traži da se sa tastature unesu dva realna broja a i b, i prirodan broj n, a koji zatim računa i ispisuje vrijednost dvojnog razlomka
 na n decimala. |
Java |
| 2.3. |
Za tri stranice trougla a, b i c računa i ispisuje površinu trougla P, kao i vrijednosti svih uglova trougla u stepenima. |
Java |
| 2.4. |
Za poznatu glavnicu G i kamatna stopa p, program računa kamatu K po formuli K = G * p/100 i novu svotu S = G + K. |
Java |
| 3.3. |
Sa tastature se unese riječ od 5 slova, a program treba da istu riječ ispiše naopačke. |
Java |
| 3.4. |
Sa tastature se unese neki cijeli broj, a koji će zatim na ekranu ispisati znak čija je ASCII šifra jednaka unesenom broju. |
Java |
| 3.5. |
Sa tastature se unese neki znak, a koji će zatim na ekranu ispisati njegovu ASCII šifru, kao i znakove koji prethode unesenom znaku odnosno koji slijede iza njega prema tablici ASCII šifri. |
Java |
| 4.2. |
Sa tastature se x sa tastature računa vrijednost funkcije y = f(x) zadane formulom  |
Java |
| 4.4. |
Sa tastature se unesu tri realna broja, a koji zatim ispisuje da li ta tri broja mogu biti stranice nekog pravouglog trougla. |
Java |
| 4.5. |
Sa tastature se unesu koeficijenti a, b i c kvadratne jednačine a x2 + b x + c = 0 a koji zatim računa i ispisuje njena rješenja. Program napraviti tako da se pri svakom unosu koeficijenta uvijek čitaju “svježi” podaci, bez obzira što je pri unosu prvog koeficijenta korisnik eventualno odmah unio tri podatka (uputa: koristite cin.ignore). |
Java |
| 5.1. |
Sa tastature unose realni brojevi sve dok se ne unese broj 0. Ispisuje se aritmetička i geometrijska sredina unesenih brojeva, ne računajući unesenu nulu. |
Java |
| 5.2. |
Sa tastature unese realan broj x. Ukoliko je zaista unesen broj, i ukoliko je x > 0, ispisati njegov kvadratni korijen, ... |
Java |
| 5.3. |
Sa tastature prvo unese prirodan broj n, a zatim n realnih brojeva. Nakon unosa program treba da ispiše sumu svih unesenih brojeva, kao i sumu svih pozitivnih brojeva. |
Java |
| 5.5. |
Napisati program koji traži da se sa tastature unese neki binarni broj, a koji nakon toga ispisuje isti broj pretvoren u dekadni brojni sistem. Na primjer, ukoliko se unese broj 1101011, rezultat treba da bude 107, jer je (1101011)2 = (107)10... |
Java |
| 6.1. |
Sa tastature unesu cijeli brojevi n i m, a koji zatim iscrtava na ekranu pravougaonik sastavljen od zvjezdica čije su dužine stranica respektivno n i m. Na primjer, za n = 15 i m = 5, ispis na ekranu treba da izgleda kao
 |
Java |
| 6.2. |
Sa tastature unese cijeli broj n, a zatim iscrtava na ekranu ispunjeni jednakostranični trougao sastavljen od zvjezdica čija je osnovica horizontalna a vrh usmjeren nagore. Na primjer, ukoliko se unese n = 5, ispis na ekranu treba da izgleda kao
 |
Java |
| 6.4. |
Sa tastature učitati 6 brojeva. Program treba da ispita i ispiše da li su svi uneseni brojevi pozitivni, i da li među njima ima neparnih brojeva. Za realizaciju programa ne koristiti nizove. |
Java |
| 7.2. |
Napisati program koji traži da se unese prirodan broj n, a zatim računa i ispisuje vrijednost izraza (verižnog razlomka)... |
Java |
| 7.3. |
Za neki broj kažemo da je palindroman ukoliko je jednak broju koji se dobije čitanjem njegovih cifara u obrnutom poretku. |
Java |
| 7.4. |
Napisati program koji traži da se sa tastature unese cijeli brojevi a i b, a koji zatim ispisuje sve savršene brojeve u opsegu od a do b. |
Java |
| 7.5. |
Napisati program koji traži da se sa tastature unesu dva prirodna broja a i b, i koji ispisuje broj brojeva u rasponu od a i b (uključujući i a i b) koji su djeljivi sumom svojih cifara (takav je, na primjer, broj 351, jer je djeljiv sa 3 + 5 + 1 = 9). Kao neke karakteristične vrijednosti za testiranje mogu vam poslužiti sljedeći rezultati: |
Java |
| 8.1. |
Deset učitanih brojeva sa tastature, ispisati: u jednom redu brojeve koji su parni, a u drugom redu brojeve koji su neparni... |
Java |
| 31. |
Euklidovim algoritmom naći najveći zajednički djelilac dva prirodna broja. |
Java |