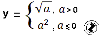
7.2.. Napisati program za odredjivanje y po formuli:

Grafički dijagram toka

Tekstualni dijagram toka

  1. Ulaz: a
  2. Logički uslov: a > 0
        Istinit /TRUE/: y = SQR(a)
        Lažan /FALSE/:  y = a ^ 2
  3. Izlaz: a, y

Index