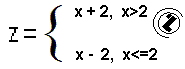
7.2.. Sa tastature učitati broj x. Varijabli z pridružiti vrijednost prema slijedećem izrazu:

Grafički dijagram toka

Tekstualni dijagram toka

  1. Ulaz: x
  2. Logički uslov: X > 2
        Istinit /TRUE/: Z = X + 2
        Lažan /FALSE/: Z = X - 2
  3. Izlaz: x, z

Index