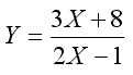
7.2.. Napiši program za rješavanje slijedećeg izraza:

Grafički dijagram toka |
Tekstualni dijagram toka |
 |
- Ulaz: x
- Logički uslov: 2 * x - 1 <> 0
Istinit /TRUE/: y = (3 * x + 8) / (2 * x - 1), Izlaz: x, y
Lažan /FALSE/: "Djeljenje sa 0 nije definisano!"
|
Index
|
 |