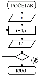
8.1.. Napisati program za ispis recipročnih vrijednosti prvih n prirodnih brojeva.
Opis rješenja: Iz teksta zadatka slijedi:
|
Tekst zadatka: |
Ispis recipročnih |
prirodnih brojeva |
od 1 |
do n |
| Elementi rješenja |
Ispisati i |
Petlja |
Petlja - početna vrijednost |
Petlja - krajnja vrijednost |
| Ulaz |
|
|
|
n? |
| FOR petlja |
|
FOR petlja |
i = 1 |
n |
| Izlaz |
1/i |
|
|
|
Grafički dijagram toka |
Tekstualni algoritam |
 |
- učitati do kog broja se izvodi ispis (n)
- za i = 1 do n radi
ispis recipročne vrijednosti promjenljive i (1/i)
- izlazak iz FOR petlje
- kraj
|
Izvršavanje:

Index
|