8.1.. Napisati program za izračunavanje proizvoda od 1 do 10.
Opis rješenja: Iz teksta zadatka slijedi:
|
Tekst zadatka: |
Proizvod |
prirodnih brojeva |
od 1 |
do 10. |
| Elementi rješenja |
Proizvod p |
Petlja |
Petlja - početna vrijednost |
Petlja - krajnja vrijednost |
| Početna vrijednost |
p = 1 |
|
|
|
| FOR petlja |
|
FOR petlja |
i = 1 |
10 |
| Obrada |
p = p * i |
|
|
|
| Izlaz |
p |
|
|
|
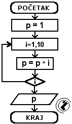
Grafički dijagram toka |
Tekstualni algoritam |
 |
- početna vrijednost prizvoda (p=1)
- za i = 1 do 10 radi
formirati novi proizovd (p=p*i)
- ispisati izračunati proizvod
- kraj
|
Izvršavanje:
P = 1
i = 1 P = 1
i = 2 P = 2
i = 3 P = 6
i = 4 P = 24
i = 5 P = 120
i = 6 P = 720
i = 7 P = 5040
i = 8 P = 40320
i = 9 P = 362880
i = 10 P = 3628800
Index
|