8.1.. Napisati program za prebrojavanje prirodnih brojeva od k do n.
Opis rješenja: Iz teksta zadatka slijedi:
|
Tekst zadatka: |
Prebrojati |
prirodne brojeve |
od k |
do n |
| Elementi rješenja |
Brojač br |
Petlja |
Petlja - početna vrijednost |
Petlja - krajnja vrijednost |
| Ulaz |
|
|
k? |
n? |
| Početna vrijednost |
br = 0 |
|
|
|
| FOR petlja |
|
FOR petlja |
i = k |
n |
| Obrada |
br = br + 1 |
|
|
|
| Izlaz |
br |
|
k |
n |
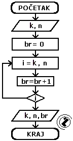
Grafički dijagram toka |
Tekstualni algoritam |
 |
- učitati granice (k, n)
- početna vrijednost brojača (br=0)
- za i = k do n radi
uvečati vrijednost brojača (br=br+1)
- ispisati granice (k, n) i izračunati brojač (br)
- kraj
|
Izvršavanje:
k? 3
n? 15
br = 0
i = 3 br = 1
i = 4 br = 2
i = 5 br = 3
i = 6 br = 4
i = 7 br = 5
i = 8 br = 6
i = 9 br = 7
i = 10 br = 8
i = 11 br = 9
i = 12 br = 10
i = 13 br = 11
i = 14 br = 12
i = 15 br = 13
Index
|