8.3.. Proizvod prvih 5 prirodnih brojeva.
Opis rješenja: Iz teksta zadatka slijedi:
|
Tekst zadatka: |
Proizvod |
prvih ... prirodnih brojeva |
do 5 |
| Elementi rješenja |
Proizvod p |
Kontrolna varijabla i |
Logički izraz ponavljanja |
| Početna vrijednost |
p = 1 |
i = 1 |
|
| Ponavljanje |
|
i = i + 1 |
i <= 5 |
| Obrada |
p = p * i |
|
|
| Izlaz |
p |
|
|
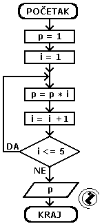
Grafički dijagram toka |
Tekstualni dijagram toka |
 |
- početna vrijednost proizvoda (p=1)
- početne vrijednosti za i (i = 1)
- početak petlje
- formirati novi proizvod (p=p*i)
- uvećaj vrijednost kontrolne promjenljive (i=i+1)
- sve dok je promjenljiva i manja ili jednaka 5 idi na korak 3 inače izađi iz petlje
- ispisati izračunati proizvod p
- kraj
|
Izvršavanje:
P = 1
i = 1 P = 1
i = 2 P = 2
i = 3 P = 6
i = 4 P = 24
i = 5 P = 120
Index
|