12.1..Napisati program koji će za učitanu vrijednost N izračunati vrijednost izraza i ispisati:

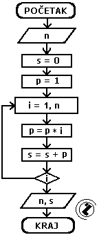
Grafički dijagram toka |
Tekstualni algoritam |
 |
- učitati do kog broja se izvodi množenje (n)
- početna vrijednost sume (s=0)
- početna vrijednost prizvoda (p=1)
- za i = 1 do n radi
formirati novi proizvod (p=p*i)
formirati novu sumu (s=s+p)
- ispisati granicu n i izračunatu vrijednost sume s
- kraj
|
Index
|
 |