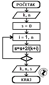
12.5.4. Napisati program koji će za učitanu vrijednost K i N izračunati vrijednost izraza i ispisati:

Grafički dijagram toka |
Tekstualni algoritam |
 |
- učitati granicu intervala (n)
učitati koeficijent (k)
- za i = 1 do n; radi
formirati novu sumu (s=s+2/(k+i))
- spisati granicu (n), koeficijent (k) i izračunatu vrijednost sumu (s)
- kraj
|
Index
|
 |