Algoritmi - Ciklična struktura
WHILE petlja - Riješeni zadaci
# 1
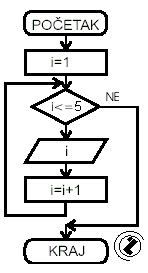
Zadatak: Ispisati prirodne brojeve od 1 do 5.
Izaberi zadatak i potvrdi klikom na dugme OK ili samo pritisni tipku ENTER
4 / 11 -
# 1
- Ispisati prirodne brojeve od 1 do 5.
4 / 11 -
# 2
- Ispisati prirodne brojeve od 4 do 8.
4 / 11 -
# 3
- Ispisati prirodne brojeve od 8 do 16.
4 / 11 -
# 4
- Ispisati trostruke vrijednosti prirodnih brojeve od k do n.
4 / 11 -
# 5
- Ispisati prirodne brojeve od 3 do 8 unazad.
4 / 11 -
# 6
- Ispisati prirodne brojeve od10 do 6 unazad.
4 / 12 -
# 7
- Suma prvih 5 prirodnih brojeva.
4 / 12 -
# 8
- Suma dvostruke vrijednosti prvih 5 prirodnih brojeva.
4 / 12 -
# 9
- Suma trostrukih vrijednosti prvih 5 prirodnih brojeva.
4 / 12 -
# 10
- Suma prirodnih brojeva od 3 do 8.
4 / 12 -
# 11
- Suma dvostrukih vrijednosti prirodnih brojeva od 3 do 8.
4 / 12 -
# 12
- Suma petorostrukih vrijednosti prirodnih brojeva od 10 do 20.
4 / 12 -
# 13
- Suma prvih n prirodnih brojeva.
4 / 12 -
# 14
- Suma dvostruke vrijednosti prvih n prirodnih brojeva.
4 / 12 -
# 15
- Suma trostrukih vrijednosti prvih n prirodnih brojeva.
4 / 12 -
# 16
- Suma trostrukih vrijednosti prirodnih brojeva od k do n.
4 / 12 -
# 17
- Suma parnih prirodnih brojeva od 1 do 5.
4 / 12 -
# 18
- Suma neparnih prirodnih brojeva od 1 do 5.
4 / 12 -
# 19
- Suma parnih prirodnih brojeva od 1 do 20.
4 / 12 -
# 20
- Suma neparnih prirodnih brojeva od 1 do 20.
4 / 12 -
# 21
- Suma parnih prirodnih brojeva od 10 do 20.
4 / 12 -
# 22
- Suma neparnih prirodnih brojeva od 10 do 20.
4 / 12 -
# 23
- Suma parnih prirodnih brojeva od 1 do n.
4 / 12 -
# 24
- Suma neparnih prirodnih brojeva od 1 do n.
4 / 12 -
# 25
- Suma parnih prirodnih brojeva od k do n.
4 / 12 -
# 26
- Suma neparnih prirodnih brojeva od k do n.
4 / 12 -
# 27
- Suma prirodnih brojeva od a do b.
4 / 12 -
# 28
- Suma prirodnih brojeva od 1 do n koji su djeljivi sa 3.
4 / 12 -
# 29
- Suma prirodnih brojeva od 1 do n koji nisu djeljivi sa 3.
4 / 12 -
# 30
- Suma prirodnih brojeva od k do n koji su djeljivi sa 3.
4 / 12 -
# 31
- Suma prirodnih brojeva od k do n koji nisu djeljivi sa 7.
4 / 13 -
# 32
- Proizvod prvih 5 prirodnih brojeva.
4 / 13 -
# 33
- Proizvod prirodnih brojeva od 3 do 8.
4 / 13 -
# 34
- Proizvod dvostrukih vrijednosti prirodnih od 1 do 5 brojeva.
4 / 13 -
# 35
- Proizvod trostrukih vrijednosti prirodnih od 1 do 5 brojeva.
4 / 13 -
# 36
- Proizvod dvostrukih vrijednosti prirodnih od 3 do 8 brojeva.
4 / 13 -
# 37
- Proizvod petorostrukih vrijednosti prirodnih od 10 do 20 brojeva.
4 / 13 -
# 38
- Proizvod prirodnih od 1 do n.
4 / 13 -
# 39
- Proizvod prirodnih od k do n.
4 / 13 -
# 40
- Proizvod prirodnih od a do b.
4 / 13 -
# 41
- Proizvod dvostrukih vrijednosti prirodnih od 1 do n.
4 / 13 -
# 42
- Proizvod trostukih vrijednosti prirodnih od 1 do n.
4 / 13 -
# 43
- Proizvod trostukih vrijednosti prirodnih od k do n.
4 / 13 -
# 44
- Proizvod parnih 1 do 5.
4 / 13 -
# 45
- Proizvod neparnih 1 do 5.
4 / 13 -
# 46
- Proizvod parnih 1 do n.
4 / 13 -
# 47
- Proizvod neparnih 1 do n.
4 / 13 -
# 48
- Proizvod parnih k do n.
4 / 13 -
# 49
- Proizvod neparnih od k do n.
4 / 14 -
# 50
- Prebrojati prirodne od 1 do 5.
4 / 14 -
# 51
- Prebrojati prirodne od 1 do n.
4 / 14 -
# 52
- Prebrojati prirodne od k do n.
4 / 14 -
# 53
- Prebrojati parne 1 do 5.
4 / 14 -
# 54
- Prebrojati neparne 1 do 5.
4 / 14 -
# 55
- Prebrojati parne od 1 do n.
4 / 14 -
# 56
- Prebrojati neparne od 1 do n.
4 / 14 -
# 57
- Prebrojati parne od k do n.
4 / 14 -
# 58
- Prebrojati neparne od k do n.
4 / 14 -
# 59
- Prebrojati brojeve djeljive sa 7 u intervalu od k do n.
4 / 15 -
# 60
- Izračunati aritmetičku sredinu prirodnih brojeva od 1 do 5.
4 / 15 -
# 61
- Izračunati aritmetičku sredinu prirodnih brojeva od 3 do 8.
4 / 15 -
# 62
- Izračunati aritmetičku sredinu prirodnih brojeva od 1 do n.
4 / 15 -
# 63
- Izračunati aritmetičku sredinu prirodnih brojeva od k do n.
4 / 15 -
# 64
- Izračunati aritmetičku sredinu prirodnih brojeva od a do b.
4 / 15 -
# 65
- Izračunati aritmetičku sredinu parnih od 1 do 5.
4 / 15 -
# 66
- Izračunati aritmetičku sredinu neparnih od 1 do 5.
4 / 15 -
# 67
- Izračunati aritmetičku sredinu parnih od 1 do n.
4 / 15 -
# 68
- Izračunati aritmetičku sredinu neparnih od 1 do n.
4 / 15 -
# 69
- Izračunati aritmetičku sredinu parnih od k do n.
4 / 15 -
# 70
- Izračunati aritmetičku sredinu brojeva djeljivih sa 3 u intervalu od 1 do n.
4 / 15 -
# 71
- Izračunati aritmetičku sredinu brojeva koji nisu djeljivi sa 3 u intervalu od 1 do n.
4 / 15 -
# 72
- Izračunati aritmetičku sredinu brojeva djeljivih sa 3 u intervalu od k do n.
4 / 15 -
# 73
- Izračunati aritmetičku sredinu brojeva koji nisu djeljivi sa 7 od u intervalu k do n.
4 / 15 -
# 74
- Izračunati aritmetičku sredinu brojeva djeljivih sa 7 u intervalu od k do n.
Home