abc Algoritmi - Test - Oba - Ciklična struktura - While petlja

Redni broj testa: 1 / 20
Start: 28/11/2025 15:47:42
Trajanje: 0/0 0:0:0

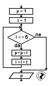
Izabrati algoritam za proizvod prirodnih brojeva od k do n:
Algoritam 1

Algoritam 2

Algoritam 3

Algoritam 4