Algoritmi abc - REPEAT petlja

Redni broj testa: 1

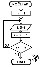
Na osnovu algoritamske šeme koji odgovor je tačan
Izračunati aritmetičku sredinu brojeva koji nisu djeljivi sa 7 do n.
Izračunati aritmetičku sredinu brojeva koji nisu djeljivi sa 7 u intervalu od k do n.
Izračunati aritmetičku sredinu brojeva koji su djeljivi sa 7 u intervalu od k do n.
Izračunati aritmetičku sredinu brojeva koji nisu djeljivi sa 7 u intervalu od 1 do n.