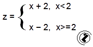
7.2.. Sa tastature učitati broj x. Varijabli z pridružiti vrijednost prema slijedećem izrazu:

Listing programa:

#include <iostream>
using namespace std;
int main()
{
    int z,x;                 // deklarisanje varijabli
    cout << "Unesite varijablu x:" << endl;
    cin>>x;
    if(x>2)
        z=x+2;
    if(x<=2)
        z=x-2;
    cout << z << endl;

    return 0;
}

Daljnji rad:
1. Učitati x i izračunati z prema izrazu:

Rješenje: IF x < 2 THEN z := x + 2 ELSE z := x - 2;

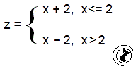
2. Učitati x i izračunati z prema izrazu:

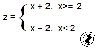
3. Učitati x i izračunati z prema izrazu:

Ispis na ekranu:

Index