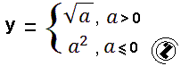
7.2.. Napisati program za odredjivanje y po formuli:
Listing programa:
#include <iostream>
#include <cmath>
using namespace std;
int main ()
{
float a, y; // deklarisanje varijabli
cout << "Broj: ";
cin >> a; // ulaz
if(a > 0) // pozitivan broj
y = sqrt(a); // kvadratni korijen
else // inace
y = pow(a,2); // kvadrat broja
cout << y << endl;
return 0;
}
Ispis na ekranu:

Index
|