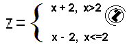
7.2.. Sa tastature učitati broj x. Varijabli z pridružiti vrijednost prema slijedećem izrazu:
 Listing programa:
#include <iostream>
using namespace std;
int main()
{
int z,x; // deklarisanje varijabli
cout << "Unesite varijablu x:" << endl;
cin>>x;
if(x>2)
z=x+2;
if(x<=2)
z=x-2;
cout << z << endl;
return 0;
}
Daljnji rad:
1. Učitati x i izračunati z prema izrazu:

Rješenje: IF x < 2 THEN z := x + 2 ELSE z := x - 2;
2. Učitati x i izračunati z prema izrazu:

3. Učitati x i izračunati z prema izrazu:

Ispis na ekranu:

Index
|