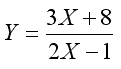
7.2.. Napiši program za rješavanje slijedećeg izraza:
Opis rješenja: Nazivnik mora biti različit od nule 2x-1<>0.
Listing programa:
#include <iostream>
using namespace std;
int main()
{
float x, y; // deklarisanje varijabli
cout << "Broj: ";
cin>>x;
if((2*x-1)!=0) { // x u intervalu
y=(3*x+8)/(2*x-1); // izracunaj
cout << y << endl;
}
else
cout << "izraz nije definisan" << endl; // ispis
return 0;
}
Ispis na ekranu:

Index
|