abc Matlab - elektronski priručnik
III dio Matematika u Matlabu - 3.4. Vjerovatnoća i statistika
3.4.3. Uslovna vjerovatnoća i nezavisnost
3.4.3.3. Bayesov teorem
Ponekad se analiza započinje sa inicijalnim stepenom uvjerenja da će se neki događaj desiti. Kasnije, možemo dobiti neke dodatne informacije o događaju koje mogu promijeniti naše uvjerenje o vjerovatnoći da će se događaj desiti. Inicijalna vjerovatnoća se naziva priorna vjerovatnoća.Koristeći novu informaciju, možemo ažurirati priornu vjerovatnoću pomoću Bayesovog teorema da bismo dobili posteriornu vjerovatnoću.
Eksperiment praćenja otkazivanja klipnog prstena u kompresoru je primjer gdje se Bayesov teorem može koristiti, i izvešćemo Bayesov teorem pomoću ovog primjera. Pretpostavimo da su naši klipni prstenovi kupljeni od dva proizvođača: 60% od proizvođača A i 40% od proizvođača B.
Neka MA označava događaj da dio dolazi od proizvođača A, a MB predstavlja događaj da klipni prsten dolazi od proizvođača B. Ako slučajno izaberemo dio iz naše zalihe klipnih prstenova, možemo dodijeliti vjerovatnoće ovim događajima na sljedeći način:

Ovo su naše priorne vjerovatnoće da klipni prstenovi dolaze od određenog proizvođača.
Recimo da nas zanima da znamo vjerovatnoću da klipni prsten koji je uzastopno otkazao dolazi od proizvođača A. To bi bila posteriorna vjerovatnoća da dolazi od proizvođača A, uz podatak da je klipni prsten otkazao. Dodatna informacija koju imamo o klipnom prstenu jeste da je otkazao, i ovo koristimo da ažuriramo naš stepen uvjerenja da on dolazi od proizvođača A.
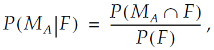
Bayesov teorem se može izvesti iz definicije uslovne vjerovatnoće (jednačina1). Pišući ovo koristeći naše događaje, interesuje nas sljedeća vjerovatnoća:
(5)
gdje predstavlja posteriornu vjerovatnoću da dio dolazi od proizvođača A, a F je događaj da je klipni prsten otkazao. Koristeći Pravilo množenja (jednačina 2), možemo pisati brojnik u jednačini (5) u pogledu događaja F i naše priorne vjerovatnoće da dio dolazi od proizvođača A, na sljedeći način
(6)
Sljedeći korak je naći P(F). Jedini način na koji klipni prsten može otkazati je ako: 1) otkaže i dolazi od proizvođača A ili 2) otkaže i dolazi od proizvođača B. Stoga, koristeći treći aksiom vjerovatnoće, možemo pisati

Primjenjujući Pravilo množenja kao ranije, imamo
(7)
Zamjenjujući ovim P(F) u jednačini (6), možemo pisati posteriornu vjerovatnoću kao
(8)
Napomenimo da trebamo naći vjerovatnoće
. Ovo su vjerovatnoće da će klipni prsten otkazati a da je došao od odgovarajućeg proizvođača. One moraju biti na neki način procijenjene koristeći raspoložive informacije (napr., prethodna otkazivanja).
Jednačina (8) je Bayesov teorem za situaciju gdje su moguća samo dva ishoda. Uopšteno, Bayesov teorem može biti napisan za bilo koji broj uzajamno isključivih događaja, E1 , ... , Ek, čija unija čini čitav prostor uzoraka. To izgleda ovako:
BAYESOV TEOREM
(9)
Uslovna vjerovatnoća i nezavisnost - Nezavisnost < Index > Očekivanje
|