abc Matlab - elektronski priručnik
III dio Matematika u Matlabu - 3.4. Vjerovatnoća i statistika
3.4.5. Vrste raspodjela
3.4.5.1. Binomna raspodjela
Recimo da smo izveli eksperiment, čiji se ishod može označiti kao ‘uspjeh’ ili kao ‘neuspjeh’. Ako sa X=1 označimo uspješan ishod i ako X=0 predstavlja neuspjeh, tada možemo pisati funkciju mase vjerovatnoće kao
(19)
gdje p predstavlja vjerovatnoću uspješnog ishoda. Slučajna varijabla koja slijedi funkciju mase vjerovatnoće u jednačini (19) za 0 < p < 1 se naziva Bernulijeva slučajna varijabla.
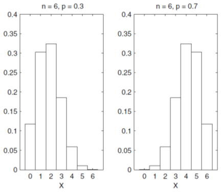
Sada pretpostavimo da ponavljamo ovaj eksperiment n puta, gdje je svaki pokušaj nezavisan (ishod jednog pokušaja ne utiče na ishod drugog) i rezultira uspjehom sa vjerovatnoćom p. Ako X označava broj uspjeha u ovih n pokušaja, tada X slijedi binomnu raspodjelu sa parametrima (n, p). Primjeri binomnih raspodjela sa različitim parametrima su prikazani na Slici 1.

Slika 1: Primjeri binomne raspodjele za različite vjerovatnoće uspjeha.
Za računanje binomne vjerovatnoće, koristimo sljedeću formulu:
(20)
Srednja vrijednost i varijansa binomne raspodjele su dati sa

i

Neki primjeri gdje rezultati nekog eksperimenta mogu biti modelovani pomoću binomne slučajne varijable su:
• Vjerovatnoća da će neki lijek izliječiti bolest je 0.90. Primijenjen je na 100 pacijenata, pri čemu je ishod za svakog pacijenta izliječen ili nije izliječen. Ako je X broj izliječenih pacijenata, tada je X binomna slučajna varijabla sa parametrima (100, 0.90).
• Američki Nacionalni institut za mentalno zdravlje procjenjuje da postoji 20% šansi da odrasli Amerikanac pati od nekog psihijatrijskog poremećaja. Pedeset odraslih Amerikanaca su slučajno odabrani. Ako X predstavlja broj onih koji imaju psihijatrijski poremećaj, tada X uzima vrijednosti u skladu sa binomnom raspodjelom sa parametrima (50, 0.20).
• Proizvođač kompjuterskih čipova otkrio je da je u prosjeku 5% čipova defektno. Da bi se pratio proces proizvodnje, uzima se slučajni uzorak veličine 75. Ako uzorak sadrži više od pet defektnih čipova, tada se proces zaustavlja. Binomna raspodjela sa parametrima (75, 0.05) može se upotrijebiti da modeluje slučajnu varijablu X, gdje X predstavlja broj defektnih čipova.
Primjer 1
Vrste raspodjela < Index > Vrste raspodjela - Binomna raspodjela - Primjer 1
|
 |