abc Matlab - elektronski priručnik
III dio Matematika u Matlabu - 3.4. Vjerovatnoća i statistika

3.4.5. Vrste raspodjela
3.4.5.3. Uniformna raspodjela

Možda jedna od najvažnijih raspodjela je uniformna raspodjela za kontinualne slučajne varijable. Jedan razlog je taj što se uniformna (0, 1) raspodjela koristi kao osnova za simulaciju većine slučajnih varijabli.
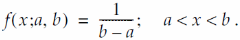
Slučajna varijabla koja je uniformno distribuirana na intervalu (a, b) slijedi funkciju gustine vjerovatnoće datu sa

                   (22)

Parametri za uniformnu raspodjelu su krajnje tačke intervala, a i b. Srednja vrijednost i varijansa uniformne slučajne varijable su dati sa
                                            ,
i
                                          .
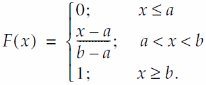
Funkcija kumulativne raspodjele za uniformnu slučajnu varijablu je
                                 (23)

Primjer 3

Vrste raspodjela - Poasonova raspodjela - Primjer 2    <    Index    >    Vrste raspodjela - Uniformna raspodjela - Primjer 3