abc Matlab - elektronski priručnik
IX dio NUMERIČKA MATEMATIKA U MATLAB-u - 9.1. Numeričko rješavanje nelinearnih jednačina s jednom nepoznatom

9.1. Numeričko rješavanje nelinearnih jednačina s jednom nepoznatom

1. Metodom polovljenja riješite sljedeće jednačine s tačnošću ε= 0.0001:

a) sin x + cos x = 0 na segmentu [0, 2π];

b) cos x + ln x = 0;

c) ex – sin(x + 1) = 0;

d) x5x4 + x3 x2 + x – 1 = 0.

U svakom od slučajeva odredite broj polovljenja potreban za postizanje zadane tačnosti.

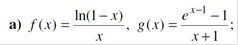
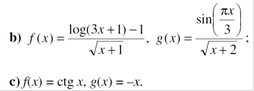
2. Odredite sve zajedničke tačke funkcija f(x) i g(x) ako je:

3. Odredite sve realne nule sljedećih funkcija:

a) f(x) = x3 – sin(3x);

b) f(x) = x2 – cos(2x);

c) f(x) = x th(x) – 1;

d) f(x) = 3x– 3x.

4. Odredite sve nule sljedećih polinoma:

a) p(x) = x4 – 10x3 + 35x2 – 50x + 24;

b) p(x) = x3 – 2x2 + 2x – 1;

c) p(x) = x5x3 – 3x – 18;

d) p(x) = x3 – 6x2 + 9x.

Gdje god je to moguće, provjerite dobijene rezultate grafički.
5. Zadan je polinom p(x) = x3 + x2 x – 1. Odredite sve realne nule tog polinoma, izračunajte  p(1 + i) + p(1 – i) i prikažite grafički taj polinom iznad segmenta [–3, 3].

6. Zadan je polinom p(x) = x5 – 2x4 + 3x2 – 5x + 3. Odredite sve realne nule tog polinoma, izračunajte p(–2i) + p(i) i prikažite grafički taj polinom iznad segmenta [–1, 1].

7. Kreirajte funkcijsku m–datoteku polinom3.m koja sadrži jedino funkciju polinom3 čije su ulazne varijable (ne nužno različiti) realni brojevi a, b i c, a jedina izlazna varijabla matrica p čiji su elementi tačno svi koeficijenti polinoma p(x) kojem su tačno sve nule jednake a, b i c.

8. Kreirajte funkcijsku m–datoteku samorealni.m koja sadrži jedino funkciju samorealni čija je jedina ulazna varijabla matrica p čiji su elementi tačno svi koeficijenti polinoma p(x), a izlazna varijabla jednaka 1 ako su sve nule polinoma p(x) realne, a 0 inače.

9. Kreirajte funkcijsku m–datoteku zopol.m koja sadrži jedino funkciju zopol čije su ulazne varijable matrice p i q čiji su elementi tačno svi koeficijenti redom polinoma p(x) i q(x), a izlazne varijable matrice Z i O čiji su elementi tačno svi koeficijenti redom polinoma  p(x) + q(x) i p(x) – q(x).

10. Kreirajte funkcijsku m–datoteku umnozakpol.m koja sadrži jedino funkciju umnozakpol čije su ulazne varijable matrice p i q čiji su elementi tačno svi koeficijenti redom polinoma p(x) i q(x), a jedina izlazna varijabla matrica U čiji su elementi tačno svi koeficijenti polinoma p(x)* q(x).

Primjer 8. x3 - x2 + x - 1, p(1 – i) + p(1 + i)    <    Index    >    Primjer 8. x3 - x2 + x - 1, p(1 – i) + p(1 + i)