abc Matlab - elektronski priručnik
VII dio Dodaci /APPENDIX/ - 7.2. Programiranje u Matlabu 2

7.2.3. Uslovne naredbe (naredbe kontrole toka)
7.2.3.2. Naredba while
7.2.3.2.4. Primjer 4

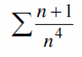
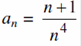
Izračunajmo sumu reda

do na tačnost eps. Izraz do na tačnost eps znači da prilikom računanja zbira reda kao sabirke uzimamo sve članove reda koji su barem jednaki eps. Budući da je niz

strogo padajući (provjerite to!), tih članova ima konačno mnogo, pa za rješavanje zadatka možemo koristiti petlje. Radi preglednosti, rješenje zadatka zapisaćemo u obliku obične m– datoteke red.m. U tu datoteku ukucamo:

s=0;                      inicijalizacija zbira s
n=1;                      inicijalizacija indeksa n
while (n+1)/(n^4)>=eps    uslov da član reda mora biti barem jednak eps
s=s+(n+1)/(n^4);        n-ta parcijalna suma reda
n=n+1;                  povećanje indeksa za 1
end                       kraj petlje
s                         ispis konačne sume reda

Spremimo tu datoteku i vratimo se u radni prostor. U njegovu novom retku upišimo

red

i dobićemo:

s =
2.28438013685600

To je tražena suma reda.

Uslovne naredbe (naredbe kontrole toka) - Naredba while    <    Index    >    Uslovne naredbe (naredbe kontrole toka) - Naredba if…else