|
2.1. SINTAKSNI DIJAGRAM
Sintaksni dijagrami su namjenjeni lakšem razumjevanju, većoj preglednosti sintakse jezika. Sastoje se od kružića, ovalnih pravougaonika, pravougaonika povezanih u određenom poretku.
1. Krug i ovalni pravougaonik sadrže konačne (terminalne, završne) nedjeljive znakove jezika
2. Pravougaonici sadrže element koji se naknadno definiše novim sintaksnim dijagramom

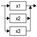
3. Jedan od elemenata x1, x2, x3 se mora izvesti

4. Niz elemenata x1, x2, x3 koji slijede jedan za drugim

5. Element koji se može izvesti ili preskočiti

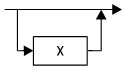
6. Element koji se ne mora izvesti, a može se ponavljati njegovo izvođenje

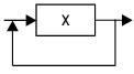
7. Element koji se mora izvesti barem jednom i može se ponavljati njegovo izvođenje
Index
|