2.2.  SINTAKSNI DIJAGRAM
         Primjeri sintaksnih dijagrama

2.1. Nacrtati sintaksni dijagram slova

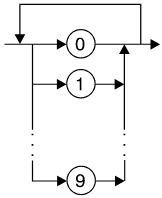
 2.2. Nacrtati sintaksni dijagram za cifru

2.3. Nacrtati sintaksni dijagram za broj

 

2.4. Nacrtati sintaksni dijagram za ime

 

Index