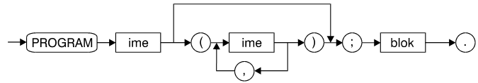
4.4. Program

Program se sastoji od zaglavalja /HEADING/ i bloka /BLOCK/. Zaglavlje sadrži ključnu riječ PROGRAM, naziv programa i popis fajlova koje program koristi.

Index