7.2.. Sa tastature učitati broj x. Varijabli z pridružiti vrijednost prema slijedećem izrazu:
 Listing programa:
PROGRAM p07211041;
VAR { deklarisanje promjenljivih }
x, z : REAL; { realne promjenljive }
BEGIN
WRITE('Broj '); { ulazna promjenljiva }
READLN( x ); { ulaz - ucitavanje promjenljive }
IF x > 2 THEN { ako je x vece od 2 tada }
z := x + 2 { izraz1 - suma }
ELSE { inace }
z := x - 2; { izraz2 - razlika}
Writeln('x=', x, ' z=', z); { izlaz - ispis }
READLN;
END.
Daljnji rad:
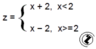
1. Učitati x i izračunati z prema izrazu:

Rješenje: IF x < 2 THEN z := x + 2 ELSE z := x - 2;
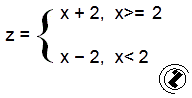
2. Učitati x i izračunati z prema izrazu:

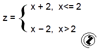
3. Učitati x i izračunati z prema izrazu:

Ispis na ekranu:

Index
|