Pascal - Python
Ciklična strukura - FOR petlja

1 Ispisati prirodne brojeve od 1 do 5. Pascal - Python
3 Ispisati prirodne brojeve od 1 do 17. Pascal - Python
4 Ispis prirodnih brojeve od 3 do 8. Pascal - Python
5 Ispisati prirodne brojeve od 3 do 8 unazad. Pascal - Python
6 Ispis prirodnih brojeve od 5 do 20 unazad. Pascal - Python
7 Ispis brojeva od 1 do 20 u obliku: 1 2 3 4 5 6 7 8 9 ......20 Pascal - Python
8 Napisati program za ispis dvostruke vrijednosti prvih 5 prirodnih brojeva. Pascal - Python
9 Napisati program za ispis kvadrata prirodnih brojeva od 1 do 5. Pascal - Python
10 Ispis kvadratnog korijena prirodnih brojeva do 10. Pascal - Python
11 Ispisati parne prirodne brojeve od 1 do 5. Pascal - Python
13 Ispisati parne prirodne brojeve od 1 do 17. Pascal - Python
14 Ispisati neparne prirodne brojeve od 1 do 5. Pascal - Python
15 Ispisati neparne prirodne brojeve od 1 do 17. Pascal - Python
16 Ispisati prirodne brojeve od 1 do 5 koji su djeljivi sa 3. Pascal - Python
17 Ispisati prirodne brojeve od 1 do 9 koji su djeljivi sa 3. Pascal - Python
18 Ispisati prirodne brojeve od 1 do 17 koji su djeljivi sa 3. Pascal - Python
19 Ispisati prirodne brojeve od 1 do 5 koji nisu djeljivi sa 3. Pascal - Python
20 Ispisati prirodne brojeve od 1 do 17 koji nisu djeljivi sa 3. Pascal - Python
21 Ispisati prirodne brojeve od 1 do 5 koji su djeljivi sa a. Pascal - Python
22 Ispisati prirodne brojeve od 1 do 17 koji su djeljivi sa a. Pascal - Python
23 Ispisati prirodne brojeve od 1 do 5 koji nisu djeljivi sa a. Pascal - Python
24 Ispisati prirodne brojeve od 1 do 17 koji nisu djeljivi sa a. Pascal - Python
25 Ispisati prirodne brojeve od 1 do n. Pascal - Python
27 Napisati program za ispis prirodnih brojeva od 3 do n. Pascal - Python
28 Ispisati prirodne brojeve od k do n. Pascal - Python
30 Napisati program za ispis dvostruke vrijednosti prvih n prirodnih brojeva. Pascal - Python
31 Ispis kvadrata prirodnih brojeva do n. Pascal - Python
32 Ispis kvadratnog korijena prirodnih brojeva do n. Pascal - Python
34 Napisati program za ispis parnih prirodnih brojeva od 1 do n. Pascal - Python
36 Ispisati neparne prirodne brojeve od 1 do n. Pascal - Python
38 Ispis paranih i neparnih prirodnih brojeva od 1 do n (test parnosti i neparnosti). Pascal - Python
39 Ispis prirodnih brojeva od 1 do n koji su djeljivi sa 5. Pascal - Python
43 Ispis prirodnih brojeva od 1 do n koji nisu djeljivi sa a. Pascal - Python
44 Ispis prirodnih brojeva od k do n koji su djeljivi sa 5. Pascal - Python
45 Ispis prirodnih brojeva od k do n koji nisu djeljivi sa 5. Pascal - Python
46 Ispis prirodnih brojeva od k do n koji su djeljivi sa a. Pascal - Python
48 Ispis prirodnih brojeva od k do n koji nisu djeljivi sa a. Pascal - Python
50 Suma prvih 5 prirodnih brojeva. Pascal - Python
52 Saberi prirodne brojeve do 100. Pascal - Python
53 Suma prvih n prirodnih brojeva. Pascal - Python
54 Suma prirodnih brojeva od k do n. Pascal - Python
55 Izračunati i ispisati sumu kvadrata prvih n prirodnih brojeva. Pascal - Python
56 Izračunati i ispisati sumu kvadrata prirodnih brojeva od k do n. Pascal - Python
57 Napisati program za ispis sume recipročnih vrijednosti prvih n prirodnih brojeva (harmonijski niz: 1 + 1/2 + 1/3 + ... + 1/n) Pascal - Python
58 Izračunati i ispisati sumu reciprocnih vrijednosti prirodnih brojeva od k do n. Pascal - Python
59 Napisati program za izračunavanje sume niza:1 - 1/2 + 1/3 -+ ... -+ 1/n Pascal - Python
60 Suma neparnih prirodnih brojeva od 1 do 5. Pascal - Python
62 Suma parnih prirodnih brojeva od 1 do 5. Pascal - Python
64 Saberi parne prirodne brojeve do 100. Pascal - Python
65 Suma neparnih prirodnih brojeva od 1 do n. Pascal - Python
67 Suma parnih prirodnih brojeva od 1 do n. Pascal - Python
69 Suma parnih prirodnih brojeva od k do n. Pascal - Python
71 Izračunati sumu neparnih prirodnih brojeva u intervalu od k do n. Pascal - Python
73 Izračunati sumu prirodnih brojeva u intervalu od 1 do n koji su djeljivi sa 7. Pascal - Python
74 Izračunati i ispisati sumu prirodnih brojeva u intervalu od 1 do n koji su djeljivi sa 3. Pascal - Python
76 Izračunati sumu prirodnih brojeva u intervalu od 1 do n koji nisu djeljivi sa 3. Pascal - Python
78 Izračunati sumu prirodnih brojeva u intervalu od 1 do n koji nisu djeljivi sa 7. Pascal - Python
79 Izračunati sumu prirodnih brojeva u intervalu od 1 do n koji su djeljivi sa 7 i sa 3. Pascal - Python
80 Izračunati sumu prirodnih brojeva u intervalu od 1 do n koji su djeljivi sa a. Pascal - Python
82 Izračunati sumu prirodnih brojeva u intervalu od 1 do n koji nisu djeljivi sa a. Pascal - Python
84 Izračunati sumu prirodnih brojeva u intervalu od k do n koji su parni. Pascal - Python
86 Izračunati sumu prirodnih brojeva u intervalu od k do n koji su neparni. Pascal - Python
88 Izračunati sumu prirodnih brojeva u intervalu od k do n koji su djeljivi sa 3. Pascal - Python
89 Izračunati sumu prirodnih brojeva u intervalu od k do n koji nisu djeljivi sa 3. Pascal - Python
90 Izračunati sumu prirodnih brojeva u intervalu od k do n koji su djeljivi sa 7. Pascal - Python
91 Izračunati sumu prirodnih brojeva u intervalu od k do n koji nisu djeljivi sa 7. Pascal - Python
92 Izračunati sumu prirodnih brojeva u intervalu od k do n koji su djeljivi sa a. Pascal - Python
94 Izračunati sumu prirodnih brojeva u intervalu od k do n koji nisu djeljivi sa a. Pascal - Python
96 Izračunati sumu prirodnih brojeva u intervalu od 1 do n čija je cifra jedinica 8. Pascal - Python
97 Izračunati sumu prirodnih brojeva u intervalu od k do n čija je cifra jedinica 8. Pascal - Python
99 Naći sumu brojeva u intervalu od a do b djeljivih sa 5. Pascal - Python
102 Proizvod prvih 5 prirodnih brojeva. Pascal - Python
104 Izračunati proizvod parnih prirodnih brojeva od 1 do 5. Pascal - Python
108 Napisati program za ispis proizvoda (faktorijele) brojeva od 1 do 5. Pascal - Python
109 Napisati program za izračunavanje proizvoda od 1 do 10. Pascal - Python
110 Proizvod prirodnih od 1 do n. Pascal - Python
112 Proizvod parnih od prvih n prirodnih brojeva. Pascal - Python
114 Proizvod neparnih od prvih n prirodnih brojeva. Pascal - Python
116 Izračunati proizvod prirodnih brojeva u intervalu od 1 do n koji su djeljivi sa 3. Pascal - Python
120 Izračunati proizvod brojeva od 1 do n koji su djeljivi sa 7. Pascal - Python
124 Izračunati proizvod brojeva od 1 do n koji nisu djeljivi sa a. Pascal - Python
126 Napisati program za ispis proizvoda brojeva od 1 do n koji su djeljivi sa 3 i sa 4. Pascal - Python
127 Napisati program za ispis proizvoda brojeva od 1 do n koji su djeljivi sa a. Pascal - Python
128 Napisati program za ispis proizvoda brojeva od 1 do n čija je cifra jedinica 6. Pascal - Python
129 Napisati program za ispis proizvoda brojeva od 1 do n čija je cifra jedinica 3. Pascal - Python
130 Proizvod prirodnih od k do n. Pascal - Python
132 Izračunati proizvod parnih brojeva od A do B. Pascal - Python
135 Izračunati proizvod neparnih prirodnih brojeva u intervalu od k do n. Pascal - Python
137 Izračunati proizvod prirodnih brojeva u intervalu od k do n koji su djeljivi sa 3. Pascal - Python
139 Izračunati proizvod prirodnih brojeva u intervalu od k do n koji nisu djeljivi sa 3. Pascal - Python
141 Izračunati proizvod prirodnih brojeva u intervalu od k do n koji su djeljivi sa 7. Pascal - Python
142 Izračunati proizvod prirodnih brojeva u intervalu od k do n koji nisu djeljivi sa 7. Pascal - Python
145 Naći proizvod prirodnih brojeva u intervalu od k do n koji su djeljivi sa 2 a nisu djeljivi sa 3. Pascal - Python
146 Izračunati proizvod prirodnih brojeva u intervalu od k do n koji su djeljivi sa a. Pascal - Python
150 Naći proizvod prirodnih brojeva u intervalu od k do n čija je cifra jedinica 4. Pascal - Python
152 Saberi i pomnoži prirodne brojeve do N koji su djeljivi sa 3. Pascal - Python
164 Prebrojati parne prirodne brojeve u intervalu od 1 do n. Pascal - Python
165 Prebrojati neparne prirodne brojeve u intervalu od 1 do n. Pascal - Python
167 Prebrojati prirodne brojeve u intervalu od 1 do n koji su djeljivi sa 3. Pascal - Python
173 Prebrojati prirodne brojeve u intervalu od 1 do n koji su djeljivi sa l. Pascal - Python
175 Prebrojati prirodne brojeve u intervalu od k do n. Pascal - Python
176 Prebrojati parne prirodne brojeve u intervalu od k do n. Pascal - Python
178 Prebrojati prirodne brojeve u intervalu od k do n koji su djeljivi sa 3. Pascal - Python
179 Prebrojati prirodne brojeve u intervalu od k do n koji nisu djeljivi sa 3. Pascal - Python
184 Prebrojati prirodne brojeve u intervalu od k do n koji su djeljivi sa l. Pascal - Python
187 Napisati program da nađe proizvod prirodnih brojeva od a do b djeljivih sa l i koliko ih ima. Pascal - Python
188 Naći sumu brojeva u intervalu od a do b djeljivih sa 5 i koliko ih ima. Pascal - Python
194 Izračunati aritmetičku sredinu prirodnih brojeva do 5. Pascal - Python
195 Izračunati aritmetičku sredinu prirodnih brojeva od 3 do 8. Pascal - Python
197 Izračunati aritmetičku sredinu neparnih prirodnih brojeva do 5. Pascal - Python
202 Izračunati aritmetičku sredinu prirodnih brojeva do n. Pascal - Python
203 Izračunati aritmetičku sredinu neparnih prirodnih brojeva od 1 do n. Pascal - Python
204 Izračunati aritmetičku sredinu parnih prirodnih brojeva od 1 do n. Pascal - Python
221 Izračunati aritmetičku sredinu brojeva od k do n djeljivih sa l. Pascal - Python
238 Napisati program za učitavanje 10 brojeva i ispisati aritmetičku sredinu negativnih i aritmetičku sredinu pozitivnih brojeva kao i broj nula. Pascal - Python
243 Napisati program za ispis dana u sedmici. Ispis na ekranu poslije izvođenja programa:
Pascal - Python
251 Napisati program za ispis trougla kao na slici sa željenim brojem redova:
.
Pascal - Python
254 Napisati program za ispis trougla kao na slici sa željenim brojem redova:
.
Pascal - Python
259 Napisati program da ispisuje 3 puta u 3 reda IME sa razmakom.
Pascal - Python
260 Napisati program da ispisuje u prvo redu jedno ime a zatim u svakom narednom po jedno ime više.
Pascal - Python
261 Napisati program da ispisuje u prvo redu crtice umjesto imena i na kraju ispisuju ime a zatim u svakom narednom po jedno ime više.
Pascal - Python
269 Napisati program koji će za učitanu vrijednost k izračunati vrijednost izraza i ispisati:
Pascal - Python
276 Napisati program koji će za učitanu vrijednost K izračunati vrijednost izraza i ispisati:
Pascal - Python
280 Napisati program koji će za učitanu vrijednost K izračunati vrijednost izraza i ispisati:
Pascal - Python
284 Napisati program koji će za učitanu vrijednost N i M izračunati vrijednost izraza i ispisati:
Pascal - Python
285 Napisati program koji će za učitanu vrijednost N i M izračunati vrijednost izraza i ispisati:
Pascal - Python
286 Napisati program koji će za učitanu vrijednost N izračunati vrijednost izraza i ispisati:
Pascal - Python
287 Napisati program koji će za učitanu vrijednost N izračunati vrijednost izraza i ispisati:
Pascal - Python
289 Napisati program koji će za učitanu vrijednost N izračunati vrijednost izraza i ispisati:
Pascal - Python
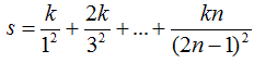
294 Napisati program koji će za učitanu vrijednost K i N izračunati vrijednost izraza i ispisati:
Pascal - Python
295 Napisati program koji će za učitanu vrijednost K i N izračunati vrijednost izraza i ispisati:
Pascal - Python
296 Napisati program koji će za učitanu vrijednost K i N izračunati vrijednost izraza i ispisati:
Pascal - Python
297 Napisati program koji će za učitanu vrijednost K i N izračunati vrijednost izraza i ispisati:
Pascal - Python
298 Napisati program koji će za učitanu vrijednost K i N izračunati vrijednost izraza i ispisati
Pascal - Python
299 Napisati program koji će za učitanu vrijednost N i zračunati vrijednost izraza i ispisati:
Pascal - Python
300 Napisati program koji će za učitanu vrijednost K i N izračunati vrijednost izraza i ispisati:
Pascal - Python
301 Napisati program koji će za učitanu vrijednost N izračunati vrijednost izraza i ispisati:
Pascal - Python
302 Napisati program koji će za učitanu vrijednost N izračunati vrijednost izraza i ispisati:
Pascal - Python
303 Napisati program koji će za učitanu vrijednost N i zračunati vrijednost sume faktorijela neparnih brojeva do N:
S = 1! + 3! + 5! + … + N!
Pascal - Python
304 Napisati program koji će za učitanu vrijednost N i zračunati vrijednost sume faktorijela parnih brojeva do N:
S = 2! + 4! + 6! + … + N!
Pascal - Python
305 Napisati program koji će za učitanu vrijednost N i zračunati vrijednost izraza i ispisati:
S = 3! + 6! + 9! + … + N!
Pascal - Python
308 Napisati program koji će za učitanu vrijednost N i zračunati vrijednost izraza i ispisati:
Pascal - Python
309 Napisati program koji će za učitanu vrijednost N i zračunati vrijednost izraza i ispisati:
S = 4! + 8! + 12! + … + (4N)!
Pascal - Python
310 Napisati program koji će za učitanu vrijednost K i N izračunati vrijednost izraza i ispisati:
Pascal - Python
311 Napisati program koji će za učitanu vrijednost K i N izračunati vrijednost izraza i ispisati:
Pascal - Python
312 Napisati program koji će za učitanu vrijednost K i N izračunati vrijednost izraza i ispisati:
Pascal - Python
313 Napisati program koji će za učitanu vrijednost K i N izračunati vrijednost izraza i ispisati:
Pascal - Python
314 Napisati program koji će za učitanu vrijednost K i N izračunati vrijednost izraza i ispisati:
Pascal - Python
315 Napisati program koji će za učitanu vrijednost K i N izračunati vrijednost izraza i ispisati:
Pascal - Python
316 Napisati program koji će za učitanu vrijednost K i N izračunati vrijednost izraza i ispisati:
Pascal - Python
317 Napisati program koji će za učitanu vrijednost N i zračunati vrijednost izraza i ispisati:
Pascal - Python
318 Napisati program koji će za učitanu vrijednost K i N izračunati vrijednost izraza i ispisati:
Pascal - Python
319 Napisati program koji će za učitanu vrijednost K i N izračunati vrijednost izraza i ispisati:
Pascal - Python
320 Napisati program koji će za učitanu vrijednost K i N izračunati vrijednost izraza i ispisati:
Pascal - Python
321 Napisati program koji će za učitanu vrijednost N izračunati vrijednost izraza i ispisati:
Pascal - Python
322 Napisati program koji će za učitanu vrijednost K i N izračunati vrijednost izraza i ispisati:
Pascal - Python
323 Napisati program koji će za učitanu vrijednost K i N izračunati vrijednost izraza i ispisati:
Pascal - Python
324 Napisati program koji će za učitanu vrijednost K i N izračunati vrijednost izraza i ispisati:
Pascal - Python
325 Napisati program koji će za učitanu vrijednost K i N izračunati vrijednost izraza i ispisati:
Pascal - Python
326 Napisati program koji će za učitanu vrijednost K i N izračunati vrijednost izraza i ispisati:
Pascal - Python
327 Napisati program koji će za učitanu vrijednost K i N izračunati vrijednost izraza i ispisati:
Pascal - Python

    abc Algoritmi    abc BASIC    abc Turbo Pascal    abc C++    abc Java    abc C    abc Python    abc Dev-Pascal    Index