Galerija
opšta formula
alkohola
struktura
hidroksilne grupe
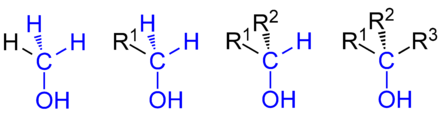
vrste alkhohola
(1°, 2°, 3°)
modeli alkohola
(1°, 2°, 3°)
     
nomenklatura
primjeri 1
nomenklatura
primjeri 2
2-metil-2-butanol
(model)
etanol
(strukturna formula)
       
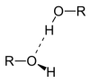
građenje vodonične
veze sa vodom
građenje vodonične
veze (model)
vodonična veza
etanol-voda
međusobne asocijacije
alkohola
       
 
enantiomeri u
opštem slučaju
L- i D- alanin primjeri enantiomera enantiomeri - predmet
i lik u ogledalu
gliceraldehid enantiomeri
vinske kiseline
metanol
(model)
upotrebe metanola
       
metanol - otrovan etanol
(model)
etanol - proizvodnja
alkoholnih pića
posljedice prekomjernog
unošenja alkohola-etanola

 

 

Povratak na početnu