abc Matlab - elektronski priručnik
III dio Matematika u Matlabu - 3.4. Vjerovatnoća i statistika

3.4.4. Očekivanje
3.4.4.2. Srednja vrijednost i varijansa

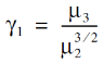
Treći centralni moment  se često zove mjera asimetrije u raspodjeli. Uniformna i normalna raspodjela su primjeri simetričnih raspodjela. Gama i eksponencijalna su primjeri asimetričnih raspodjela. Sljedeći omjer se naziva koeficijent asimetrije, koji se često koristi za mjerenje ove karakteristike:

                               (16)

Raspodjele koje su zakošene na lijevo imaće negativni koeficijent zakošenosti, a raspodjele koje su zakošene na desno imaće pozitivnu vrijednost. Koeficijent zakošenosti je nula za simetrične raspodjele. Međutim, koeficijent zakošenosti jednak nuli ne znači da raspodjela mora biti simetrična.

Očekivanje - Srednja vrijednost i varijansa    <    Index    >    Očekivanje - Zakrivljenost (savijenost)