abc Matlab - elektronski priručnik
III dio Matematika u Matlabu - 3.4. Vjerovatnoća i statistika

3.4.4. Očekivanje
3.4.4.3. Zakrivljenost (savijenost)

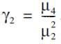
Zakošenost je jedan način mjerenja tipa odstupanja od normalnosti. Zakrivljenost mjeri različit tip odstupanja od normalnosti tako što indicira kolika je „zašiljenost“ vrha (ili kolika je zaravnjenost u blizini centra) u raspodjeli. Koeficijent zakrivljenosti je dat sljedećim omjerom:

                                                 (17)
Vidimo da je ovaj omjer četvrti centralni moment podijeljen sa kvadratom varijanse. Ako je raspodjela normalna, tada je ovaj omjer jednak 3. Omjer veći od 3 indicira više vrijednosti u susjedstvu srednje vrijednosti (zaoštreniji je od normalne raspodjele). Ako je omjer manji od 3, to je indikacija da je kriva ravnija od normalne.
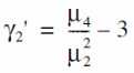
Ponekad se koeficijent viška zakrivljenosti koristi kao mjera zakrivljenosti. To je dato sa

                                                  (18)

U ovom slučaju, raspodjele koje su više zaoštrene od normalne odgovaraju pozitivnoj vrijednosti , a one sa ravnijim vrhom imaju negativni koeficijent viška zakrivljenosti.

Očekivanje - Asimetrija (zakošenost)    <    Index    >    Vrste raspodjela