| |
I Izrazi |
|
|
| 1 |
Učitati broj ispisati znak broja prema izrazu:
 |
Dev-Pascal |
| 1_1 |
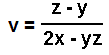
Napisati program za izračunavanje vrijednosti prema izrazu:
 |
|
| 1_2 |
Napisati program za izračunavanje vrijednosti prema izrazu:
 |
Dev-Pascal |
| 1_3 |
Napisati program za izračunavanje vrijednosti prema izrazu:
 |
Dev-Pascal |
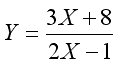
| 2 |
Napisati program za odredjivanje y po formuli:
 |
Dev-Pascal |
| 3 |
Na ekranu ispisati "Otkucajte nadimak pjesnika Jovana Jovanovica". Ako se otkuca Zmaj ili ZMAJ ispisati "ODLICNO", inače na druge odgrovore ispisati "ISPRAVAN ODGOVOR JE ZMAJ". |
Dev-Pascal |
| 4_01 |
Učitati dva broja. Ispisati prvo manji pa veći broj. |
|
| 4_02 |
Učitati dva broja. Ispisati prvo veći pa manji broj. |
|
| 4 |
Napisati program za odredjivanje z po formuli:
 |
Dev-Pascal |
| 5 |
Napisati program za odredjivanje z po formuli:
 |
Dev-Pascal |
| 5_1 |
Učitati broj i ispitati je li broj cijeli? |
|
| 6 |
Učitati realan broj, ako je broj pozitivan ispisati njegov korijen, a ako je negativan, njegov kvadrat:
 |
Dev-Pascal |
| 7 |
Sa tastature učitati broj x. Varijabli z pridružiti vrijednost prema slijedećem izrazu:
 |
Dev-Pascal |
| 8 |
Sa tastature učitati dva broja (x i a). Varijabli z pridružiti vrijednost prema slijedećem izrazu:
 |
Dev-Pascal |
| 9 |
Učitati dva realna broja (a, b), izračunati z prema izrazu:
 |
Dev-Pascal |
| 9_1 |
Učitatii a,b, ako je a veće od b onda je c=2a-b, inače je c=a+2b. |
Dev-Pascal |
| 9_2 |
Učitatii a,b, ako je a manje od b onda je c=a-2b, inače je c=2a+b. |
|
| 10 |
Učitati dva broja (x i a). Varijabli z pridružiti vrijednost prema slijedećem izrazu:
 |
Dev-Pascal |
| 10_1 |
Učitati x. Ako je x manje ili jednako 0, tada je y=5+x, inače je y=x-3. |
Dev-Pascal |
| 11 |
Napisati program za odredjivanje apsolutne vrijednosti broja (koristiti IF ELSE naredbu). |
Dev-Pascal |
| 11_4 |
Ispisati rastojanje između dvije učitane vrijednosti, koristiti IF ELSE naredbu. |
|
| 18 |
Napisati program za odredjivanje y po formuli:
 |
Dev-Pascal |
| |
II Parnost i djeljivost |
|
|
| 12 |
Napisati program za odredjivanje parnosti broja. |
Dev-Pascal |
| 17_1 |
Učitati prirodan broj. Ispisati da li je djeljiv sa 3 ili nije. |
|
| 17_2 |
Učitati prirodan broj. Ispisati da li je djeljiv sa 5 ili nije. |
|
| 17_3 |
Učitati prirodan broj. Ispisati da li je djeljiv sa 3 i 4 ili nije. |
|
| 17_4 |
Za vrijednosti x i y izračunati z = x mod y pa ispisati, a zatim z = y mod x pa ispisati. |
|
| 17_5 |
Cjelobrojni brojevi a i b imaju vrijednosti a=17, b=5. Šta će se ispisati na ekrnu poslije izvođenja pseudo koda: Pseudo kod a=17; b=5; ako je (a div b <>0) onda izlaz (a div b) inače izlaz (a mod b); izlaz (a+b); |
|
| 17_6 |
Izračunati: d = a * b div c; e = d mod a * c; f = d mod e; |
|
| 17_8 |
Učitati cijeli broj i ispitati je li broj paran i veći od 11? |
|
| 17_9 |
Učitati cijeli broj i ispitati je li broj neparan i manji od 19? |
|
| 13 |
Napisati program za odredjivanje y po formuli:
 |
Dev-Pascal |
| 13_1 |
Napisati program za odredjivanje y po formuli:
 |
Dev-Pascal |
| 14 |
Napisati program za odredjivanje y po formuli:
 |
Dev-Pascal |
| 15 |
Napisati program za odredjivanje y po formuli:
 |
Dev-Pascal |
| 16 |
Učitati prirodan broj. Ako je neparan ispisati njegovu recipročnu vrijednost, a ako je paran ispisati kvadratni korijen njegovog sljedbenika:
 |
Dev-Pascal |
| 17 |
Učitati prirodan broj. Ako je neparan ispisati njegovu recipročnu vrijednost, a ako je paran ispisati kvadrat njegovog prethodnika.
 |
Dev-Pascal |
| 39 |
Provjera vrijednosti za uslov x parno? |
Dev-Pascal |
| 19 |
Napisati program za odredjivanje y po formuli:
 |
Dev-Pascal |
| 19_1 |
Učitati prirodan broj. Ispisati da li je djeljiv sa k ili nije. |
|
| 20 |
Napisati program za odredjivanje y po formuli:
 |
Dev-Pascal |
| |
III Više logičkih izraza |
|
|
| 21_01 |
Napisati program za odredjivanje y po formuli:
 |
Dev-Pascal |
| 21_02 |
Napisati program za odredjivanje y po formuli:
 |
Dev-Pascal |
| 21_03 |
Napisati program za odredjivanje y po formuli:
 |
Dev-Pascal |
| 21 |
Napisati program za odredjivanje y po formuli:
 |
Dev-Pascal |
| 22 |
Napisati program za izračunavanje vrijednosti z prema izrazu:
 |
Dev-Pascal |
| 23 |
Napisati program za izračunavanje vrijednosti z prema izrazu:
 |
Dev-Pascal |
| 23_1 |
Učitati cio broj. Ako je pozitivna ispisati sljedeći cio broj, ako je nula ispisati 0, inače ispisati prethodnu vrijednost. |
|
| 24 |
Zavisno o upisanoj vrijednosti časa 0-23 ispisati poruku:
 |
Dev-Pascal |
| 25 |
Sa tastature upisati broj i izračunati njegovu recipročnu vrijednost (y = 1 / x) i ispisati je. Ako je x=0 ispisati Dijeljenje sa nulom ispisati "Dijeljenje sa nulom". |
Dev-Pascal |
| 26 |
Učitati a i b i naći količnik a/b:
 |
Dev-Pascal |
| 27 |
Napiši program za rješavanje slijedećeg izraza:
 |
Dev-Pascal |
| 27_1 |
Napiši program za rješavanje slijedećeg izraza: c=(2a+b)/(2b-3a). |
|
| 27_2 |
Napiši program za rješavanje slijedećeg izraza: d=(a+b+c)/(2b-a+c). |
|
| 28 |
Napiši program za rješavanje slijedećeg izraza:
 |
Dev-Pascal |
| 28_1 |
Napiši program za rješavanje slijedećeg izraza: y=(a+d)/(2b-d-a). |
|
| 28_2 |
Napiši program za rješavanje slijedećeg izraza: v=(a+2b+c)/(b-a+3c). |
|
| 29 |
Napiši program za rješavanje slijedećeg izraza:
 |
Dev-Pascal |
| 30 |
Napisati program za ispis drugog korijena upisanog broja ako je moguće inače ispisati 'Nedefinisan'. |
Dev-Pascal |
| 31 |
Napisati program za ispis tri polovine korijena broja (3/2 korijena broja) ako je moguće inače ispisati 'Nedefinisan'. |
Dev-Pascal |
| 32 |
Napiši program za rješavanje slijedećeg izraza:
 |
Dev-Pascal |
| 33 |
Napiši program za rješavanje slijedećeg izraza:
 |
Dev-Pascal |
| 34 |
Napiši program za rješavanje slijedećeg izraza:
 |
Dev-Pascal |
| 35 |
Napiši program za rješavanje slijedećeg izraza:
 |
Dev-Pascal |
| 36 |
Napisati program da provjeriti da li je upisani broj pozitivan, negativan ili nula i to ispiše. |
Dev-Pascal |
| 37 |
Napisati program koji za x>y umanjuje vrijednosti obe varijable ( x := x - 2; y := y - 2,) inaće uvećava vrijednosti obe varijable x := x + 2; y := y + 2. |
Dev-Pascal |
| 38 |
Napisati program koji za y > x računa x i y prema izrazima: x = x - 1; y = x + 2 inače x = x + 1; y = x - 2. |
Dev-Pascal |
| |
IV Minimum i maksimum |
|
|
| 40 |
Učitati dva broja a zatim ispisati manji pa veći broj. |
Dev-Pascal |
| 41 |
Učitati dva broja. Ako je jedan veći od nule ispisati "barem jedan veci" inače ispisati sumu oba broja. |
Dev-Pascal |
| 42 |
Učitati dva broja. Ako su oba veća od nule ispisati oba veca. |
Dev-Pascal |
| 42_1 |
Učitati dva broja. Treba od većeg učitanog broja oduzeti manji i rezultat ispisati na ekran. |
Dev-Pascal |
| 43 |
Od dva učitana broja (a, b) sa tastature naći veći max(a, b). |
Dev-Pascal |
| 44 |
Od dva učitana broja (a, b) sa tastature naći manji min(a, b). |
Dev-Pascal |
| 45 |
Učitati dva broja i izračunati recipročnu vrijednost većeg i ispisati je. |
Dev-Pascal |
| 46 |
Učitati dva broja veći se množi za 2 a manji dijeli sa 3. |
Dev-Pascal |
| 46_4 |
Učitati dva cijela broja i ispitati je li veći broj paran? |
|
| 46_5 |
Učitati dva cijela broja i ispitati je li veći broj neparan? |
|
| 46_6 |
Učitati dva cijela broja i ispitati je li manji broj paran? |
|
| 46_7 |
Učitati dva cijela broja i ispitati je li manji broj neparan? |
|
| 47 |
Od dva učitana broja (a, b) sa tastature naći broj sa većim kvadratom: max(a2, b2). |
Dev-Pascal |
| 48 |
Za učitane a i b izračunati z prema izrazu z = min(a2, b2). |
Dev-Pascal |
| 49 |
Za učitane a i b izračunati z prema formuli:
 |
Dev-Pascal |
| 50 |
Za učitane a i b izračunati z prema formuli:
 |
Dev-Pascal |
| 51 |
Za učitane a i b izračunati z prema formuli:
 |
Dev-Pascal |
| 52 |
Za učitane a i b izračunati z prema formuli:
 |
Dev-Pascal |
| 53 |
Za učitane a i b izračunati z prema formuli:
 |
Dev-Pascal |
| 54 |
Za učitane a i b izračunati z prema formuli:
 |
Dev-Pascal |
| 55 |
Za učitane a i b izračunati z prema formuli:
 |
Dev-Pascal |
| 56 |
Za učitane a i b izračunati z prema formuli:
 |
Dev-Pascal |
| 57 |
Za učitane a i b izračunati z prema formuli:
 |
Dev-Pascal |
| 58 |
Za učitane a i b izračunati z prema formuli:
 |
Dev-Pascal |
| 59 |
Za učitane a i b izračunati z prema formuli:
 |
Dev-Pascal |
| 60 |
Od tri učitana broja (a, b, c) sa tastature naći najveći max(a, b, c). |
Dev-Pascal |
| 61 |
Od tri učitana broja (a, b, c) sa tastature naći najmanji min(a, b, c). |
Dev-Pascal |
| 62 |
Naći najveću razliku između 4 učitana broja. Poredi se razlika susjednih bojeva. |
Dev-Pascal |
| 62_1 |
Naći najmanju razliku između 4 učitana broja. Poredi se razlika susjednih bojeva. |
Dev-Pascal |
| 62_2 |
Od tri učitana broja (a, b, c) sa tastature naći srednji mid(a, b, c). |
|
| 64 |
Od tri upisana broja (a, b, c) sa tastature naći najmanji i recipročnu vrijednost najmanjeg. |
Dev-Pascal |
| 67 |
Učitati napon i otpor jednosmjerne struje. Izračunati struju. |
Dev-Pascal |
| 72 |
Od tri broja naći recipročnu vrijednost najmanjeg a ako je min=0 ispisati 3. |
Dev-Pascal |
| 73 |
Učitati 3 broja sa tastature. Sabrati one koji su u intervalu veći 5 i manji ili jednak 9. |
Dev-Pascal |
| 74 |
Učitati brojeve a1, a2, i a3. Ako je a1>=a2>=a3 brojevi se udvostručuju inače se svakom broju dodeljuje njegova apsolutna vrijednost. |
Dev-Pascal |
| 76 |
Učitati koeficijente kvadratne jednačine. Ispis ima odgovarajući izgled:
 |
Dev-Pascal |
| 77 |
Učitati realan broj. Ako je negativan izračunati apsolutnu vrijednost. Realan broj zaokružiti na prvi manji cijeli broj. Ako je cijeli broj neparan izračunati kub inače ispisati paran. Ispis ima izgled::
 |
Dev-Pascal |
| 78 |
Učitati dva realna broja. Ispisati njihov količnik kao cjelobrojni broj i ostatak. Ako je djelilac 0 ispisati poruku. Ispis ima izgled::
 |
Dev-Pascal |
| 79 |
Učitati dva realna broja. Ispisati njihov količnik kao cjelobrojni broj i ostatak. Izršiti provjeru izvedenih operacija. Ako je djelilac 0 ispisati poruku. Ispis ima izgled::
 |
Dev-Pascal |
| |
V Redoslijed |
|
|
| 80 |
Urediti 2 učitana broja po rastućem redoslijedu. |
Dev-Pascal |
| 81 |
Urediti 2 učitana broja po opadajućem redoslijedu. |
Dev-Pascal |
| 82 |
Urediti 3 učitana broja po rastućem redoslijedu. |
Dev-Pascal |
| 83 |
Urediti 3 učitana broja po opadajućem redoslijedu. |
Dev-Pascal |
| 84 |
Urediti 4 učitana broja po rastućem redoslijedu. |
|
| 85 |
Urediti 4 učitana broja po opadajućem redoslijedu. |
|
| 86 |
Učitati tri broja i provjeriti da li su uređeni u neopadajućem redoslijedu (A <= B <= C). Ispisati poruku (JESU , NISU). |
|
| 87 |
Učitati tri broja i provjeriti da li su uređeni u nerastućem redoslijedu (A >= B >= C). Ispisati poruku (JESU , NISU). |
|
| |
VI Geometrijski likovi |
|
|
| 90 |
Provjeriti da li je učitana tačka unutar pravougaonika -A<=x<=A i -B<=y <=B. |
Dev-Pascal |
| 91 |
Učitati stranice dva pravougaonika (privi a,b drugi je c,d). Ispisati koji može da obuhvati drugog, isti dio obuhvataju jedan drugog ili su jednaki. |
|
| 92 |
Odrediti koliko puta jedan pravougaonik može obuhvatiti drugi. |
|
| 93 |
Učitati stranice trougla i izračunati obim (Koristiti IF naredbu). |
Dev-Pascal |
| 94 |
Učitati stranice trougla. Napisati program da ponudi korisniku izbor računaranja obima i površine (za obim učitati 1 a za površinu 2). |
Dev-Pascal |
| 230_10 |
Učitati 3 realna pozitivna broja i ispitati da li postoji trougao čije su to stranice. |
|
| 95 |
Provjeriti da li učitane stranice tvore pravougaoni trougao. |
|
| 230_12 |
Učitati 3 realna broja i ispitati da li postoji trougao čije su to stranice. Ako postoji da li je: pravougli, ostrougli ili tupougli? |
Dev-Pascal |
| 96 |
Učitati 3 realna broja i ispitati da li postoji jednakostraničan trougao čije su to stranice? |
|
| 97 |
Učitati 3 realna broja i ispitati da li postoji jednakokraki trougao čije su to stranice? |
|
| 230_13 |
Učitati 3 realna broja i ispitati da li postoji trougao čije su to stranice. Ako postoji da li je: raznostraničan, jednakokraki ili jednakostraničan? |
|
| 230_11 |
Učitati koordinate 3 tačke u ravni: x1,y1; x2, y2; x3,y3. Te 3 tačke predstavljaju tjemena trougla u ravni. Izračunati i Ispisati obim i površinu tog trougla. Za površinu koristiti Heronovu formulu. |
|
| 98 |
Za učitane vrijednosti kateta dva pravougla trougla, ispisati koji trougao ima veću površinu. |
|
| 99 |
Učitati hipotenuzu pravouglog trougla i ugao alfa u stepenima. Izračunati katete. |
Dev-Pascal |
| 100 |
Učitati katetu pravouglog trougla i ugao alfa u stepenima. Izračunati katetu i hipotenuzu. |
Dev-Pascal |
| 101 |
Učitati poluprečnik kruga i stranicu kvadrata i ispisati da li se može krug smjestiti u kvadrat. |
|
| 102 |
Učitati radijus. Ako je veći od 5 izračunati obim kruga inače izračunati površinu kruga. |
Dev-Pascal |
| 103 |
Čamac se kreće okomito na tok rijeke brzinom vc (m/s). Rijeka teče brzinom vr (m/s). Napisati program za učitavanje brzina, izračunavanje i ispis ugla kretanja čamca. |
Dev-Pascal |
| 104 |
Učitati brzinu kretanja čamca (u m/s) i ugao kretanja čamca u odnosu na rijeku. Napisati program za izracunavanje i ispis brzine kratanja rijeke (u m/s). |
Dev-Pascal |
| |
VII Dvocifreni brojevi |
|
|
| 111 |
Učitati dvocifren broj i ispisati njegovu veću cifru. |
|
| 112 |
Učitati dvocifren broj i ispisati njegovu manju cifru. |
|
| 113 |
Učitati dvocifren broj. Ako je cifra jedinica parna ispisati cifru jedinica, inače ispisati cifru desetica. |
|
| 114 |
Učitati dvocifren broj. Ako je cifra jedinica neparna ispisati cifru desetica, inače ispisati cifru jedinica. |
|
| 115 |
Učitati dvocifren broj. Ako je cifra desetica parna ispisati cifru jedinica, inače ispisati cifru desetica. |
|
| 116 |
Učitati 3 dvocifrena broja i ispisati onaj broj čija je cifra jedinica najveća. |
|
| 117 |
Učitati 3 dvocifrena broja i ispisati onaj broj čija je cifra desetice najveća. |
|
| 118 |
Učitati 3 dvocifrena broja i ispisati onaj broj čija je cifra jedinica najmanja. |
|
| 119 |
Učitati 3 dvocifrena broja i ispisati onaj broj čija je cifra desetice najmanja. |
|
| 120 |
Učitati dva dvocifrena broja i ispisati koji od njih ima manju sumu cifara. |
|
| 121 |
Učitati dva dvocifrena broja i ispisati koji od njih ima veću sumu cifara. |
|
| 122 |
Učitati 3 dvocifrena broja i ispisati onaj broj čija je suma cifra najmanja. |
|
| 123 |
Učitati 3 dvocifrena broja i ispisati onaj broj čija je suma cifra najveća. |
|
| |
VIII Trocifreni i četverocifreni brojevi |
|
|
| 130 |
Ispisati da li je učitana godinu prestupna. Godina je prestupna kada je deljiva sa 400 ili kada je deliva sa 4 a nije deljiva sa 100. |
|
| 131 |
Učitati trocifren broj i ispisati njegovu najveću cifru. |
Dev-Pascal |
| 132 |
Učitati trocifren broj i ispisati njegovu najmanju cifru. |
|
| 133 |
Učitati četverocifren broj i ispisati njegovu najveću cifru. |
|
| 134 |
Učitati četverocifren broj i ispisati njegovu najmanju cifru. |
|
| 135 |
Učitati trocifren broj. Ako je cifra jedinica parna ispisati cifru stotica, inače ispisati cifru desetica. |
|
| 136 |
Učitati trocifren broj. Ako je cifra desetica neparna ispisati cifru stotica, inače ispisati cifru jedinica. |
|
| 137 |
Učitati trocifren broj. Ako je cifra stotica parna ispisati cifru jedinica, inače ispisati cifru desetica. |
|
| 138 |
Učitati 3 trocifrena broja i ispisati onaj broj čija je cifra jedinica najveća. |
|
| 139 |
Učitati 3 trocifrena broja i ispisati onaj broj čija je cifra desetica najveća. |
|
| 140 |
Učitati 3 trocifrena broja i ispisati onaj broj čija je cifra stotice najveća i cifru stotica. |
|
| 141 |
Učitati 3 trocifrena broja i ispisati onaj broj čija je cifra jedinica najmanja. |
|
| 142 |
Učitati 3 trocifrena broja i ispisati onaj broj čija je cifra desetica najmanja. |
|
| 143 |
Učitati 3 trocifrena broja i ispisati onaj broj čija je cifra stotica najmanja. |
|
| 144 |
Učitati 3 četverocifrena broja i ispisati onaj broj čija je cifra desetica najveća. |
|
| 145 |
Učitati 3 četverocifrena broja i ispisati onaj broj čija je cifra hiljadica najveća. |
|
| 146 |
Učitati 3 četverocifrena broja i ispisati onaj broj čija je cifra desetice najmanja. |
|
| 147 |
Učitati 3 četverocifrena broja i ispisati onaj broj čija je cifra stotica najmanja. |
|
| 148 |
Učitati 3 četverocifrena broja i ispisati onaj broj čija je cifra hiljadica najmanja. |
|
| 149 |
Učitati četvorocifreni broj i provjeriti da li je palindrom. Broj je palindrom ako se čita isto sprijeda i odpozadi. Primjer: 1331 |
|
| 150 |
Učitati trocifreni broj i provjeriti da li je suma kvadrata stoticae i kvadrata desetica jednaka kvadratu jedinica.Primjer 345, = 32 + 42 = 52 |
|
| 151 |
Učitati trocifreni broj i provjeriti da li je Armstrongov. Broj je Armstrongov ako je jednak sumi kubova svojih cifara. Primjer: 371 = 33 + 73 + 13. |
|
| 152 |
Učitati trocifreni broj. Koristeći svaku cifru jednom kreirati najmanji trocifren broj. Primjer: 314 najmanji je 134. |
|
| 153 |
Učitati trocifreni broj. Koristeći svaku cifru jednom kreirati najveći trocifren broj. Primjer: 314 najmanji je 431. |
|
| 154 |
Učitati dva trocifrena broja i ispisati koji od njih ima manju sumu cifara. |
|
| 155 |
Učitati dva trocifrena broja i ispisati koji od njih ima veću sumu cifara. |
|
| 156 |
Učitati četverocifreni broj. Koristeći svaku cifru jednom kreirati najmanji četverocifreni broj. Primjer: 3514 najmanji je 1345. |
|
| 157 |
Učitati četverocifreni broj. Koristeći svaku cifru jednom kreirati najveći četverocifreni broj. Primjer: 3514 najmanji je 5431. |
|
| |
IX Realni brojevi |
|
|
| 170 |
Učitati realan broj. Ako je negativan izračunati apsolutnu vrijednost. Realan broj zaokružiti na prvi manji cijeli broj. |
Dev-Pascal |
| 171 |
Učitati realan broj s dvije cijele i dvije decimalne cifre. Ispitati koji je dio veći (manji)? |
|
| 172 |
Učitati realan broj s tri cijele i tri decimalne cifre. Ispitati koji je dio veći (manji)? |
|
| 173 |
Učitati realan broj s jednom cijelom i tri decimalne cifre. Izračunati i ispisati aritmetičku sredinu parnih i neparnih decimalnih cifri. |
|
| 174 |
Učitati realan broj s jednom cijelom i četiri decimalne cifre. Izračunati i ispisati aritmetičku sredinu parnih i neparnih decimalnih cifri. |
|
| 175 |
Učitati realan broj s jednom cijelom i dvije decimalne cifre. Ispisati najmanju od te tri cifre. |
|
| 176 |
Učitati realan broj s jednom cijelom i dvije decimalne cifre. Ispisati najveću od te tri cifre. |
|
| 177 |
Učitati realan broj s dvije cijele i dvije decimalne cifre. Ispisati najveću od te četiri cifre. |
|
| 178 |
Učitati realan broj s dvije cijele i dvije decimalne cifre. Ispisati najmanju od te četiri cifre. |
|
| |
X Kombinovani zadaci |
|
|
| 951 |
Teorijska priprema za grupe zadataka iz Razgranate strukture >> |
Dev-Pascal |
| 230_1 |
Učitati 2 cijela broja i izračunati im zbir, razliku, proizvod i količnik. |
Dev-Pascal |
| 230_2 |
Učitati 2 cijela broja i izračunati im zbir, razliku, proizvod i količnik. Ispisati one rezultate koji su trocifreni. |
Dev-Pascal |
| 230_3 |
Učitati 2 cijela broja i izračunati im zbir, razliku, proizvod i količnik. Ispisati najmanji od 4 dobijena rezultata bez ponavljanja. |
|
| 230_3_1 |
Učitati 2 cijela broja i izračunati im zbir, razliku, proizvod i količnik. Ispisati najveći od 4 dobijena rezultata bez ponavljanja. |
|
| 230_4 |
Učitati 2 cijela broja i izračunati im zbir, razliku, proizvod i količnik. Ispisati najveći po apsolutnoj vrijednosti od 4 dobijena rezultata bez ponavljanja. |
|
| 230_5 |
Učitati 2 cijela broja i izračunati im zbir, razliku, proizvod i količnik. Ispisati ih na ekran ako su sva 4 rezultata pozitivna. |
|
| 230_5_1 |
Učitati 2 cijela broja i izračunati im zbir, razliku, ako je je prvi veći od drugog, inače izračunati proizvod i količnik. |
|
| 230_6 |
Učitati 3 pozitivna različita realna broja. Izračunati razliku najvećeg i najmanjeg, pa tu razliku podijeliti sa srednjim od ta 3 broja. Konačni rezultat Ispisati na ekran. |
|
| 230_7 |
Učitati 3 različita realna broja. Ispisati ih u rastućem redoslijedu na ekran. |
Dev-Pascal |
| 230_8 |
Učitati 2 realna broja različita od 0. Ako su različitog predznaka sabrati ih, a ako su istog predznaka pomnožiti ih. Rezulat Ispisati na ekran. |
|
| 230_9 |
Učitati 4 cijela broja. Ako je bar jedan od njih pozitivan izračunati im proizvod i Ispisati ga. Ako je bar jedan od njih negativan izračunati im zbir i Ispisati ga. |
|
| 230_14 |
Učitati 2 različita cijela broja. Ako su oba parna podijeliti veći sa manjim brojem. Ako su oba neparna od većeg oduzeti manji broj. Inače sabrati ta dva broja. |
|
| 230_21 |
Učitati 2 cijela broja, ako su oba parna od većeg oduzeti manji broj. Ako su oba neparna podijeli veći sa manjim. Inače pomnoži oba broja. |
|
| 230_22 |
Učitati 2 cijela broja, ako su oba parna podijeli veći sa manjim. Ako su oba neparna od većeg oduzeti manji broj. Inače sabrati oba broja. |
|
| 230_23 |
Učitati 3 cijela broja, ako su sva tri parna, pomnoži ih, ako su sva tri neparna, saberi ih, za ostale vrijednosti izlaz izračunati po izrazu:a+b-c. |
|
| 230_24 |
Učitati 3 cijela broja, ako su sva tri parna, saberi ih, ako su sva tri neparna, pomnoži ih, za ostale vrijednosti izlaz izračunati po izrazu:a+2*b-c. |
|
| 230_15 |
Učitati trocifreni cijeli broj. Ispremještati mu cifre tako da se dobije najveći mogući broj sastavljen od te tri cifre. Npr. 476 ==> 764. |
|
| |
XI Generisanje broja |
|
|
| 951 |
Teorijska priprema za generisanje broja >> |
|
| 231_1 |
Generisati 2 cijela broja i izračunati im zbir, razliku, proizvod i količnik. |
|
| 231_2 |
Generisati 2 cijela broja i izračunati im zbir, razliku, proizvod i količnik. Ispisati one rezultate koji su trocifreni. |
|
| 231_3 |
Generisati 2 cijela broja i izračunati im zbir, razliku, proizvod i količnik. Ispisati najmanji od 4 dobijena rezultata bez ponavljanja. |
|
| 231_4 |
Generisati 2 cijela broja i izračunati im zbir, razliku, proizvod i količnik. Ispisati najveći po apsolutnoj vrijednosti od 4 dobijena rezultata bez ponavljanja. |
|
| 231_5 |
Generisati 2 cijela broja i izračunati im zbir, razliku, proizvod i količnik. Ispisati ih na ekran ako su sva 4 rezultata pozitivna. |
|
| 231_5_1 |
Generisati 2 cijela broja i izračunati im zbir, razliku, ako je prvi veći od drugog, inače izračunati proizvod i količnik. |
|
| 231_5_2 |
Generisati 3 dvocifrena broja. Naći sumu manjih od 44. |
|
| 231_5_3 |
Generisati 3 dvocifrena broja. Naći sumu većih od 55. |
|
| 231_5_4 |
Generisati 3 dvocifrena broja. Naći sumu manjih od 35 i sumu većih od 65. |
|
| 231_5_5 |
Generisati 5 dvocifrenih brojeva. Naći sumu sa posljednjom cifrom 3. |
|
| 231_5_6 |
Generisati 3 dvocifrena broja. Naći sumu parnih. |
|
| 231_5_7 |
Generisati 3 dvocifrena broja. Naći proizvod neparnih. |
|
| 231_5_8 |
Generisati 3 dvocifrena broja. Neparnim dodati 5, a od parnih oduzeti 2. |
|
| 231_5_9 |
Generisati 3 dvocifrena broja. Naći sumu parnih i sumu neparnih. |
|
| 231_6 |
Generisati 3 pozitivna različita realna broja. Izračunati razliku najvećeg i najmanjeg, pa tu razliku podijeliti sa srednjim od ta 3 broja. Konačni rezultat Ispisati na ekran. |
|
| 231_7 |
Generisati 3 različita realna broja. Ispisati ih u rastućem redoslijedu na ekran. |
|
| 231_8 |
Generisati 2 realna broja različita od 0. Ako su različitog predznaka sabrati ih, a ako su istog predznaka pomnožiti ih. Rezulat Ispisati na ekran. |
|
| 231_9 |
Generisati 4 cijela broja. Ako je bar jedan od njih pozitivan izračunati im proizvod i Ispisati ga. Ako je bar jedan od njih negativan izračunati im zbir i Ispisati ga. |
|
| 231_10 |
Generisati 3 realna pozitivna broja i ispitati da li postoji trougao čije su to stranice. |
|
| 231_11 |
Generisati koordinate 3 tačke u ravni: x1,y1; x2, y2; x3,y3. Te 3 tačke predstavljaju tjemena trougla u ravni. Izračunati i Ispisati obim i površinu tog trougla. Za površinu koristiti Heronovu formulu. |
|
| 231_12 |
Generisati 3 realna broja i ispitati da li postoji trougao čije su to stranice. Ako postoji da li je: raznostraničan, jednakokraki ili jednakostraničan? |
|
| 231_13 |
Generisati 3 realna broja i ispitati da li postoji trougao čije su to stranice. Ako postoji da li je: raznostraničan, jednakokraki ili jednakostraničan? |
|
| 231_14 |
Generisati 2 različita cijela broja. Ako su oba parna podijeliti veći sa manjim brojem. Ako su oba neparna od većeg oduzeti manji broj. Inače sabrati ta dva broja. |
|
| 231_15 |
Generisati trocifreni cijeli broj. Ispremještati mu cifre tako da se dobije najveći mogući broj sastavljen od te tri cifre. Npr. 476 ==> 764. |
|
| 231_16 |
Generisati četverocifreni cijeli broj. Ispremještati mu cifre tako da se dobije najveći mogući broj sastavljen od te četiri cifre. Npr. 8064 ==> 8640. |
|
| 180 |
Generisati dvocifren broj. Ispisati sumu i proizvod cifara generisanog broja i koji je veći. |
|
| 181 |
Generisati dvocifren broj. Ispisati sumu i proizvod cifara generisanog broja i koji je veći. |
|
| 182 |
Generisati trocifren broj. Ispisati sumu i proizvod cifara generisanog broja i koji je veći. |
|
| 183 |
Generisati trocifren broj. Izdvojiti cifre. Između cifara postaviti znak moženja ili sabiranja i naći najveći rezultat. |
|
| 184 |
Generisati trocifren broj. Izdvojiti cifre. Između cifara postaviti znak moženja ili sabiranja i naći najmanji rezultat. |
|
| 185 |
Generisati četverocifreni broj. Izdvojiti cifre. Između cifara postaviti znak moženja ili sabiranja i naći najveći rezultat. |
|
| 186 |
Generisati četverocifreni broj. Izdvojiti cifre. Između cifara postaviti znak moženja ili sabiranja i naći najmanji rezultat. |
|
| |
XII Tekstualni zadaci |
|
|
| 200 |
Napisati program za provjeru da li se od kvadratnog komada kartona može napraviti karta zadanih dimenzija. |
|
| 201 |
Napisati program za provjeru koliko se od kvadratnog komada kartona može napraviti karta zadanih dimenzija (jedno sjećenje stranice, ne sijeće se ostatak kartona). |
|
| 202 |
Napisati program za provjeru koliko se od kvadratnog komada kartona može napraviti karta zadanih dimenzija (sijeće se ostatak kartona). |
|
| 203 |
Napisati program za provjeru koliko se od pravougaonog komada kartona može napraviti karta zadanih dimenzija (jedno sjećenje stranice, ne sijeće se ostatak kartona). |
|
| 204 |
Napisati program za provjeru koliko se od pravougaonog komada kartona može napraviti karta zadanih dimenzija (sijeće se ostatak kartona). |
|
| 205 |
Milica se bavi čuvanjem djece. Za novu igru je odlučila da izreže karte od pravougaonog komada kartona. Svako dijete će dobiti isti broj karata, a preostale će biti džokor karte. Napisati program koji učitava dimenzije kartona, karata i broj djece, a ispisuje broj karata po djetetu, broj džoker karata i ukupan broj karata za obe verzije rezanja. |
|
| 206 |
Provjeriti koji od dva pravougaonika ima veću površinu. |
|
| 207 |
Napisati program koji nepravilni razlomak a/b pretvara mješovit broj n * c / b. Pri ćemu su brojnik i nazivnik prirodni brojevi (a <= 1000). Sa jednim razmakom ispisati n c b u istoj liniji. |
|
| 208 |
Kojim od ponuđenih izraza treba zamijeniti varijablu x u zadanom nizu naredbi kako bi se ispisao rezultat 22? a:=17; b:=5; ako je (x =3) onda izlaz (a+b) inače izlaz (a-b); Odgovori: a) a+b; b)a-b; c) b-a; d) a*b e) a/b f) b/a g) a mod b h) b mod a i) a div b j) b div a |
|