7.2. IF THEN ELSE naredba - teorijska priprema

Tekst:

Ako je

logički izraz istinit

tada

naredba1

inače

naredba2

Pseudo kod:

IF

Logicki_izraz

THEN

Naredba1

ELSE

Naredba2

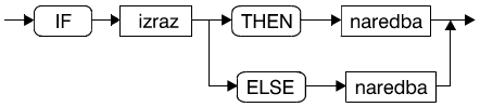
Sintaksni dijagram naredbe je predstavljen zajedno sa naredbom IF.

Tok izvršenja naredbe je predstavljen na slici

Oznaka

Opis

B

- logički izraz

S1, S2

naredbe

7.2. IF THEN ELSE naredba, riješeni primjeri i zadaci

Razgranata struktura     Index