|
PROTEINI |
||||||||
| Klasifikacija proteina | Trodimenzionalna struktura proteina | Osobine proteina | Galerija | Kviz | ||||
|
OSOBINE PROTEINA U građenju peptidne veze polipeptidnih lanaca proteina učestvuju samo α-amino i α-karboksilna grupa, dok funkcionalne grupe, prisutne u bočnim nizovima, ostaju slobodne. U sastav proteina ulaze aminokiseline koje imaju kisele (glutaminska i asparaginska kiselina) i bazne osobine (lizin, arginin, histidin), slobodne funkcionalne grupe u bočnom nizu polipeptidnog lanca mogu disosovati, odnosno primati protone, kao što je to slučaj i kod slobodnih aminokiselina. Svaki proteina se, bez obzira na aminokiselinski sastav, može podešavanjem pH rastvora prevesti u oblik u kome je zbir pozitivnog i negativnog naelektrisanja jednak, pri čemu je molekul u cjelini nenaelektrisan (oblik I). Ovo pH se označava kao izoelektrično pH ili izoelektrična tačka (IET), a njegova vrijednost je karakteristična za svaki pojedinačni protein.
kiselo-bazne osobine proteina Na IET rastvorljivost proteina je najmanja, jer ne postoje odbojne sile između neutralnih makromolekula, te pri njihovom sudaranju u rastvoru dolazi do agregacije i taloženja. Ova činjenica se često koristi za izolovanje (taloženje) određenog proteina iz heterogenih proteinskih smješa. Pri pH vrijednostima iznad i ispod IET molekuli proteina imaju istu vrstu naelektrisanja (oblici II i III - slika iznad), pa se međusobno odbijaju i na taj način se zadržavaju u rastvoru.
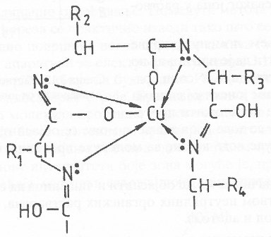
Proteini mogu, dejstvom različitih fizičko-hemijskih agenasa, izgubiti svoju biološku funkciju. Ova pojava se zove denaturacija, a može biti izazvana povišenom temperaturom (iznad 40 - 50°C), zračenjem, mehaničkim faktorima, solima teških metala ili djelovanjem jakih kiselina i baza. Denaturacija je posljedica raskidanja sekundarnih, nekovalentnih veza u molekulu proteina, usljed čega dolazi do odmotavanja polipeptidnog lanca globularnih proteina i razvijanja α-heliksa. Proteini pokazuju niz brojnih reakcija, koje se odigravaju na slobodnim bočnim nizovima aminokiselinskih ostataka (npr. ksantoproteinska, Sahagučijeva i dr.), ali je najpoznatija opšta reakcija za proteine tzv. biuretska reakcija. Reakcija se izvodi dejstvom alkalnog rastvora bakarsulfata na proteine i manifestuje se pojavom plavoljubičaste boje. U prvoj fazi reakcije dolazi do enolizacije peptidnih grupa pod dejstvom alkalija:
U sljedećoj fazi enolizovani peptidni lanac, u prisustvu Cu²+ jona daje kompleksno jedinjenje, čiji je isječak iz strukture prikazan sljedećom formulom:
|
|||||||
|
|
||||||||
![]() |
![]() |
![]() |
![]() |
![]() |
![]() |
![]() |