Haizenbergove relacije

Relacije neodređenosti

Kako odrediti stanje jednog mikrosistema
Određivanje stanja mikrosistema
Rasijanje elektrona
Zaključak
Galerija
Zadatak I
Zadatak II
Zadatak III
Biografija
Kviz

 

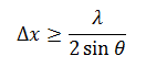
Centralni difrakcioni maksimum ima najveći intenzitet , a to znači da najveći broj elektrona padne između prva dva difrakciona minimuma. Neophodan uslov za nastajanje difrakcionog minimuma je ,

Slijedi da neodređenost koordinate položaja elektrona ∆x ne može biti manja od razmaka između pukotina, , odnosno  .