Haizenbergove relacije

Relacije neodređenosti

Kako odrediti stanje jednog mikrosistema
Određivanje stanja mikrosistema
Rasijanje elektrona
Zaključak
Galerija
Zadatak I
Zadatak II
Zadatak III
Biografija
Kviz

 

Rasijanje elektrona posljedica je interakcije elektrona sa atomima kristalne rešetke metalne folije.Pri toj interakciji nastaje promjena impulsa elektrona.Elektron nakon interakcije ima promjenu impulsa (Dpx) u pravcu X - ose

∆ Px = psinƟ

Ako se impuls elektrona izrazi preko de Brogleve talasne dužine  dobija se za promjenu impulsa u pravcu X - ose :

∆ Px = h/ sinƟ

Ako se impuls elektrona izrazi preko de broglieve talasne dužine p=h/ƛ dobija se za promjenu impulsa u pravu x-ose

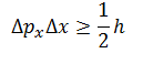
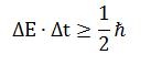
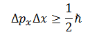
Prethodna relacija pokazuje da proizvod neodređenosti impulsa i neodređenosti koordinate ima red veličine Planck-ove konstante.Primjenom složenijih metoda kvantne teorije polja dobija se tačna relacija ,

1 )    

2)