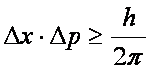
Haizenbergove relacije

Relacije neodređenosti

Kako odrediti stanje jednog mikrosistema
Određivanje stanja mikrosistema
Rasijanje elektrona
Zaključak
Galerija
Zadatak I
Zadatak II
Zadatak III
Biografija
Kviz

 

Zadatak 2 :

Elektron pri gibanju kroz maglenu komoru ostavlja

trag širine 0,5 mm. Kolika je najmanja neodređenost njegove

brzine? Masa elektrona je 9,1×10-11 kg.

Rješenje:    

Dx = 0,5 mm =0,5×10-3 m

m = 9,1×10-11 kg

           

 

 

 

    

                    Dv ³ 0,23 m s-1