Haizenbergove relacije

Relacije neodređenosti

Kako odrediti stanje jednog mikrosistema
Određivanje stanja mikrosistema
Rasijanje elektrona
Zaključak
Galerija
Zadatak I
Zadatak II
Zadatak III
Biografija
Kviz

 

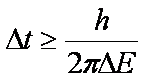
Zadatak 3: Koliko traje stanje sustava kojemu je energija

neodređena za 80 GeV? Koliki bi približno put za to vrijeme

prešla čestica koja se giba brzinom gotovo jednakom brzini svjetlosti?

 

Rješenje:

 

DE = 80 GeV = 1,28 ×10-8 J

Dt, s = ?

 

Dt ³ 8,24×10-27 s

 

s » c×Dt= 3×108 m s-1 ×8,24×10-27       s » 2,47×10-18 m