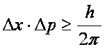
Haizenbergove relacije

Relacije neodređenosti

Kako odrediti stanje jednog mikrosistema
Određivanje stanja mikrosistema
Rasijanje elektrona
Zaključak
Galerija
Zadatak I
Zadatak II
Zadatak III
Biografija
Kviz

 

Zadatak 1: Uz duž x osi kreće se elektron

Ako je neodređenost položaja elektrona, kolika se grešaka čini pri određivanju brzine tih objekata?

Rješenje:

      a)        m = 9,1×10-11 kg

                       x= 1 mm = 10-6 m   Dv = ?

    

      

v ³ 116 m s-1