7.0. RAZGRANATA STRUKTURA
Količnik i recipročna vrijednost

Prije izračunavanja recipročne vrijednosti morate provjeriti da li broj različit od nule da računar ne pokušava da dijeli sa nulom.

7.1.. Napisati program za ispis reciprocne vrijednosti broj ako je razlicit od nule.

Opis rješenja:

PROGRAM RAZ3_1_4;
USES
  WinCrt;
VAR
  x, y : REAL;
BEGIN
  WRITE('Broj  ');
  READLN( x );
  IF x <> 0 THEN
    y :=  1/x ;
  WRITELN('x = ', x, '   y ', y );
END.

Za više detalja vidjeti: >>

7.2.. Sa tastature upisati broj i izračunati njegovu recipročnu vrijednost (y = 1 / x) i ispisati je. Ako je x=0 ispisati Dijeljenje sa nulom ispisati "Dijeljenje sa nulom"..

Opis rješenja: Recipročna vrijednost broja je 1 podijeljen sa upisanim brojem. Međutim u slučaju da je upisani broj jednak nuli trebalo bi se dijeliti sa nulom, a dijeljenje je nemoguće. Proizilazi da u odnosu na vrijednost upisanog broja postoje dvije akcije (obrade). Izbor se izvodi na osnovu logičkog izraza n=0, korištenjem razgranate strukture tipa IF THEN ELSE. Za vrijednosti n <> 0 izračunava se recipročna vrijednost (dio iza THEN), dok se za n = 0 ispisuje da je dijeljenje nemoguće.

Listing programa:

PROGRAM PP7_3;
USES
  WinCrt;
VAR
  n: Real;
BEGIN
  Write('Vas broj ');
  Readln(n);
  IF n = 0 THEN
    Writeln('Dijeljenje sa nulom ')
  ELSE
    Writeln('Reciprocna vrijednost je', 1/n);
END.

Za više detalja vidjeti: >>

 

7.2.. Učitati a i b i naći količnik a/b.

Listing programa:

PROGRAM razl07212002;
USES WinCRT;
VAR
  ?, b, y: Real;
BEGIN
  Write('a b=');
  Readln(a, b);
  IF b<>0 THEN 
    BEGIN
      y:=a/b;
      Writeln('y=',y:4:2);
    END
  ELSE
    Writeln('nije definisano');
END.

Za više detalja vidjeti: >>

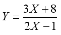
7.2.. Napiši program za rješavanje slijedećeg izraza:

Opis rješenja: Nazivnik mora biti različit od nule 2x-1<>0.

Listing programa:

PROGRAM razl07212002;
USES WinCRT;
VAR
  x,y:Real;
BEGIN
  Write('x=');
  Readln(x);
  IF 2*x-1<>0 THEN 
    BEGIN
      y:=(3*x+8)/(2*x-1);
      Writeln('y=',y:4:2);
    END
  ELSE
  Writeln('nije definisano');
END.

Za više detalja vidjeti: >>

Linkovi:

Index